Предмет: Математика,
автор: myyyp28
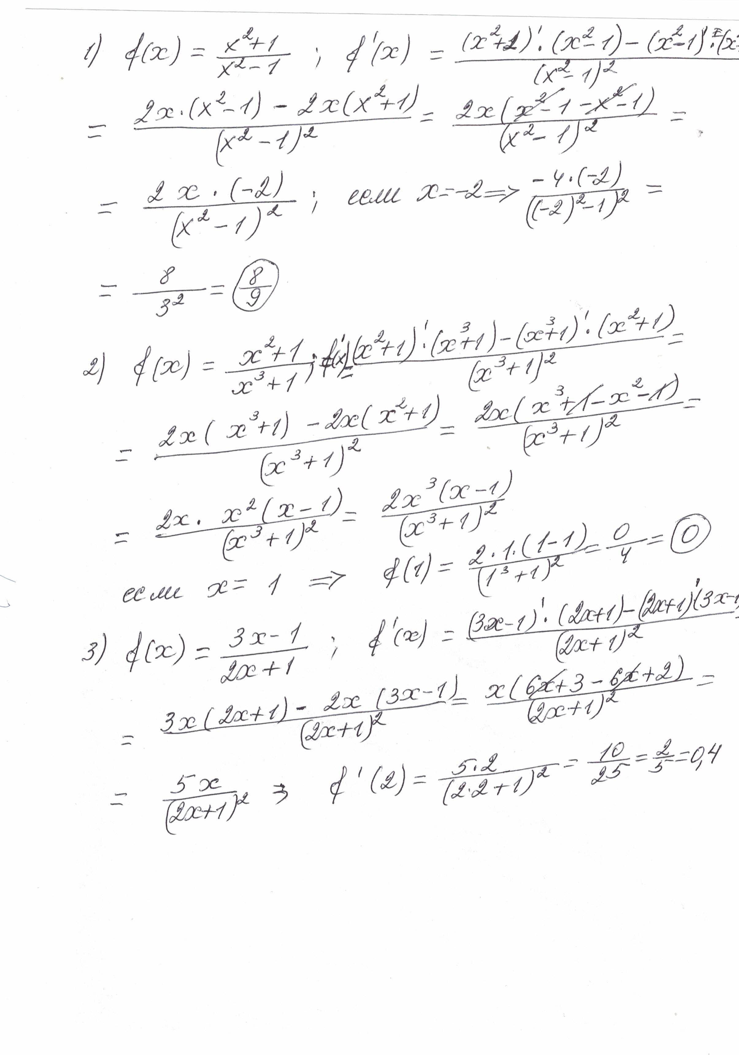
вычислите производную f'(x) при данном значении аргумента х
Приложения:
Ответы
Автор ответа:
1
Ответ:
Пошаговое объяснение:
Приложения:
Похожие вопросы
Предмет: Русский язык,
автор: amina6927
Предмет: Английский язык,
автор: zerooXpro
Предмет: Английский язык,
автор: qwpolyx
Предмет: Математика,
автор: dontworryy
Предмет: Математика,
автор: nazgul251