Предмет: Алгебра,
автор: jdjdidjsj1
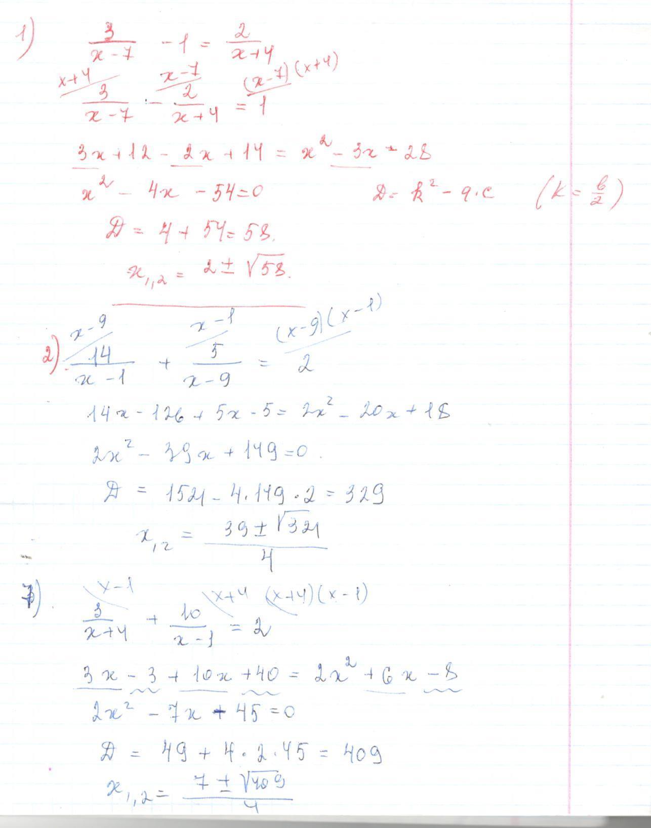
Даю 30 баллов! Прошу решите!
Приложения:
Ответы
Автор ответа:
1
Держи половину, если хватит терпения - решу вторую половину. Проверку сделала, так что скорее всего правильно, только зачем такие примеры - непонятно.
Вторую часть добавила
Приложения:
Похожие вопросы
Предмет: Обществознание,
автор: NikonShmelev
Предмет: Алгебра,
автор: solomialp13
Предмет: Математика,
автор: anitakrasnobaeva
Предмет: Физика,
автор: roman1311
Предмет: Физика,
автор: Аноним