Предмет: Математика,
автор: meee61
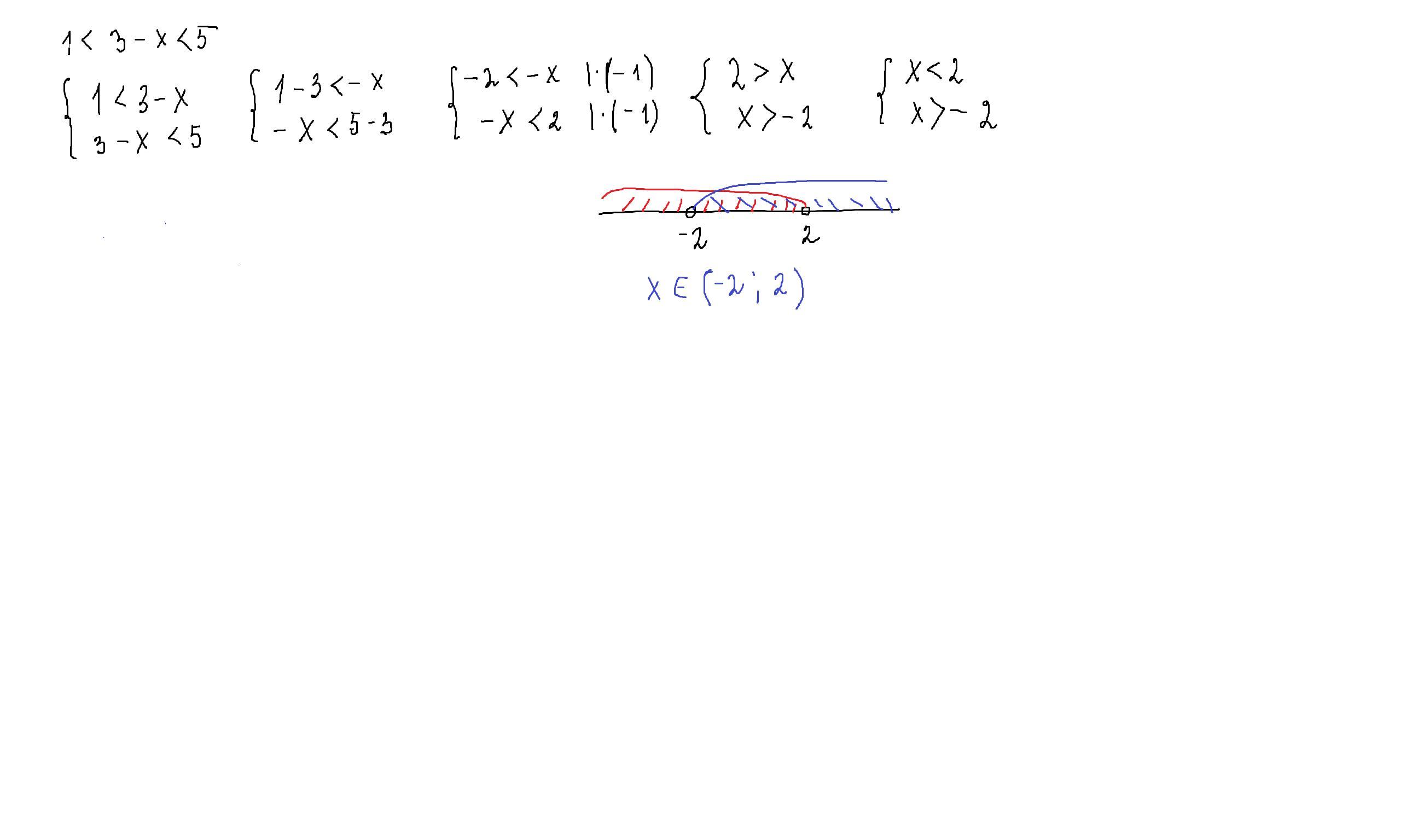
Решите двойное не равенство 1<3-х<5 плиииииз очень надо
Ответы
Автор ответа:
1
Может быть так, но лично я так и решала, учитель говорил, что правильно
Приложения:
parus77:
проверьте свое решение.Возьмите точку из своих промежутков и подставьте в неравенство и посмотрите,получится ли верное неравенство.
Автор ответа:
0
Ответ:
Пошаговое объяснение:
решение смотри внизу
Приложения:
Похожие вопросы
Предмет: Литература,
автор: dasha4019
Предмет: Українська мова,
автор: Zubastik123
Предмет: Алгебра,
автор: sssasha505
Предмет: Музыка,
автор: Rinkevich