Предмет: Алгебра,
автор: smsmsmmsmss
пжпжпжпжпжпжпжпжпжпжжп
Приложения:
Ответы
Автор ответа:
0
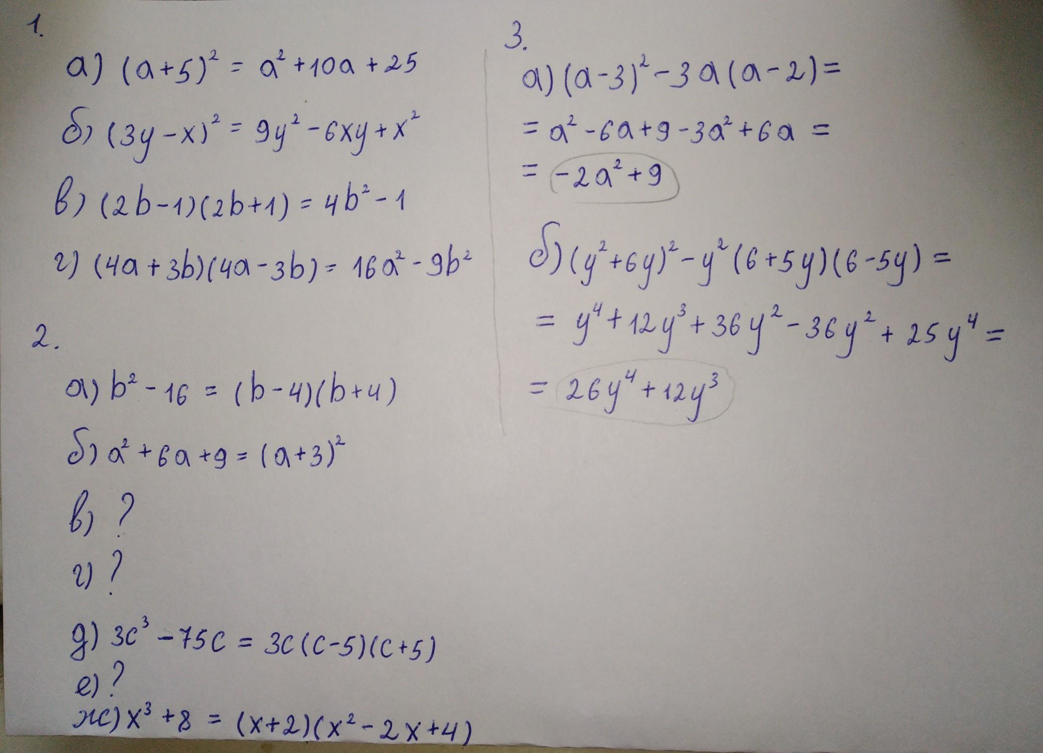
Что не понятно сразу пишите
Приложения:
Автор ответа:
0
Я не знала какое задание нужно было сделать поэтому я сделала всё.
И да те которые которые я не разглядела просто написала - ?
Приложения:
Похожие вопросы
Предмет: Математика,
автор: bojcukhristinka
Предмет: Английский язык,
автор: ladydiona
Предмет: Математика,
автор: pepsinogoga
Предмет: Математика,
автор: Аноним