Предмет: Математика,
автор: dmi63
Хай, решите правильно плиз.
В ответ пришлите фото с решением.
Зарание спасибо.
Приложения:
Ответы
Автор ответа:
1
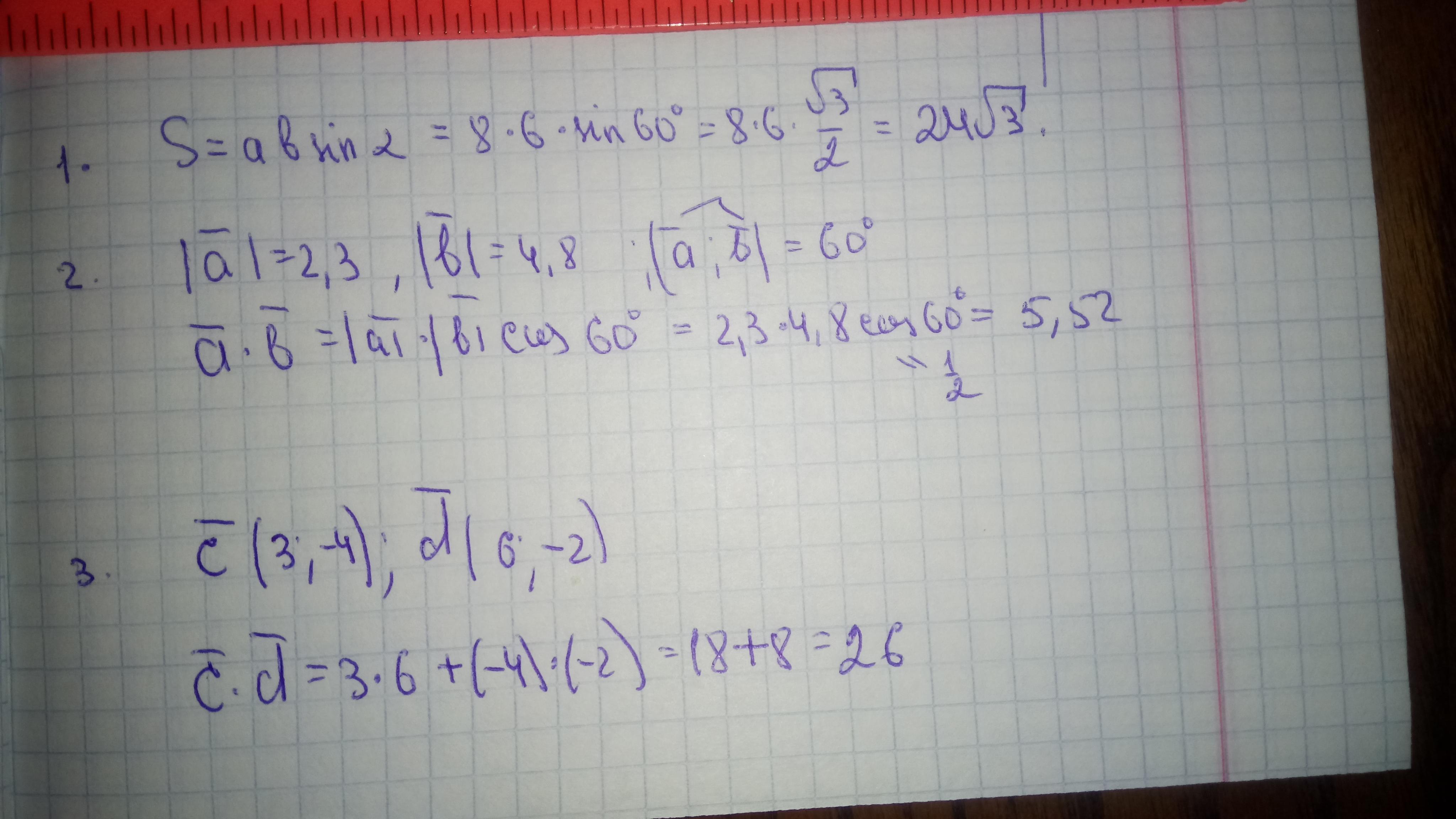
Решение задания приложено
Приложения:
Похожие вопросы
Предмет: История,
автор: qaraxanliaysel2
Предмет: Английский язык,
автор: Yestaiii
Предмет: Қазақ тiлi,
автор: Kinyk
Предмет: Математика,
автор: феганмама
Предмет: Математика,
автор: MARTASIRA