Предмет: Алгебра,
автор: User22EU4739828
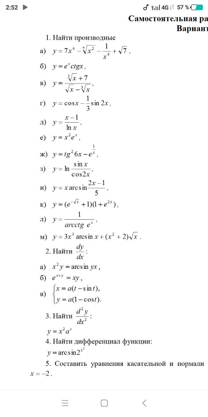
Помогите решить срс по производным. Срочно!
Приложения:
Ответы
Автор ответа:
2
Ghhgggggggggghhhhhhhhhh
Приложения:
Похожие вопросы
Предмет: Математика,
автор: kseonmajnkraft
Предмет: Геометрия,
автор: Аноним
Предмет: Физика,
автор: bainazartlektes
Предмет: История,
автор: ivanovaea1964