Предмет: Другие предметы,
автор: vikfn156
ДАЮ ВСЕ БАЛЛЫ
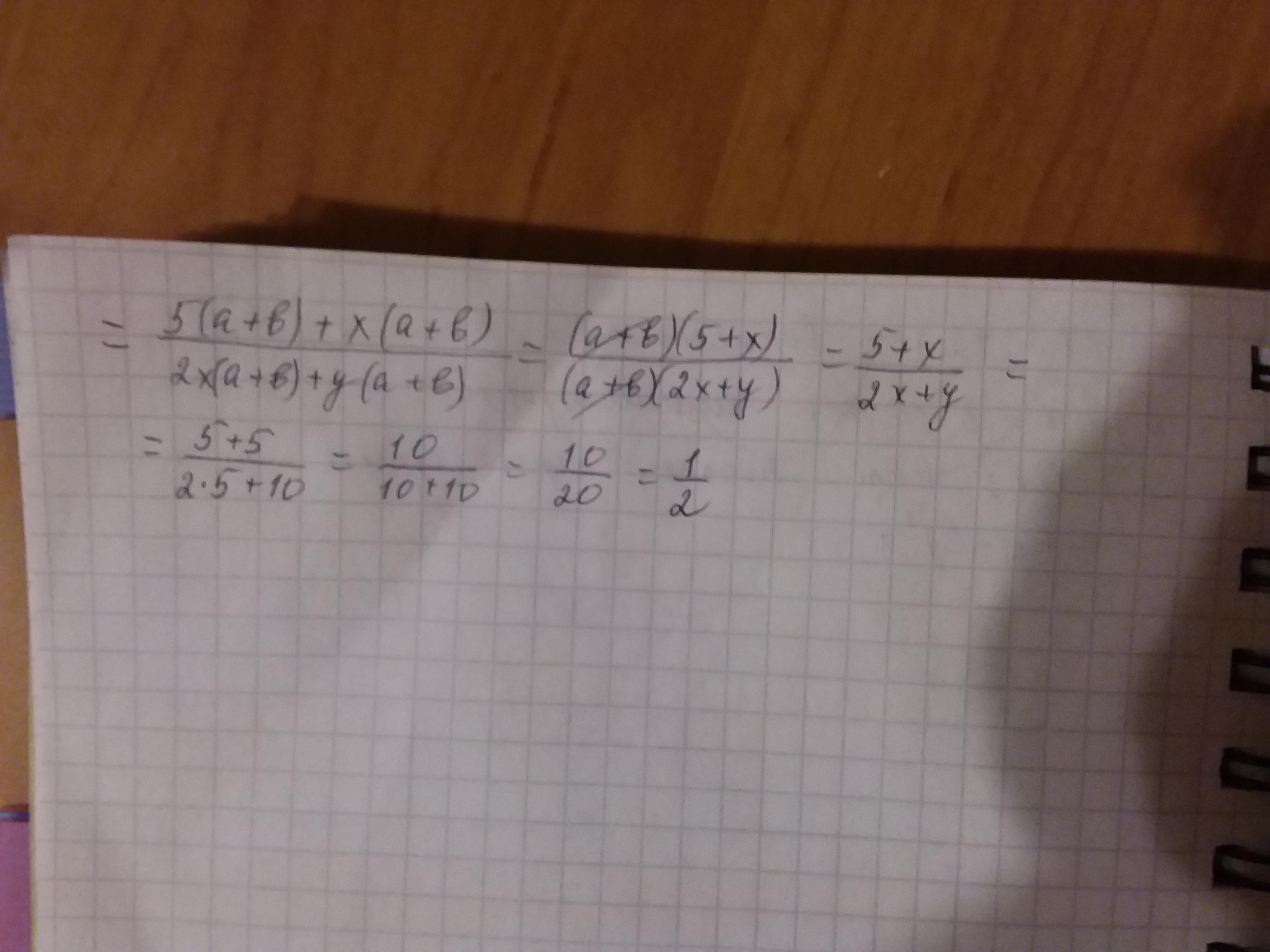
НАДО УПРОСТИТЬ И РЕШИТЬ ПРИМЕР ЕСЛИ x=5 , y=10
Приложения:
Ответы
Автор ответа:
1
на фото,,,,,,,,,,,,,,,,,,,,
Приложения:
vikfn156:
Спасибо !!!
Похожие вопросы
Предмет: Литература,
автор: Br0GAm1ng
Предмет: Математика,
автор: SaYKeRR
Предмет: Физика,
автор: karina22585
Предмет: Математика,
автор: LikaStar11
Предмет: География,
автор: vorsa2005