Предмет: Математика,
автор: bjdkskshjsjkal
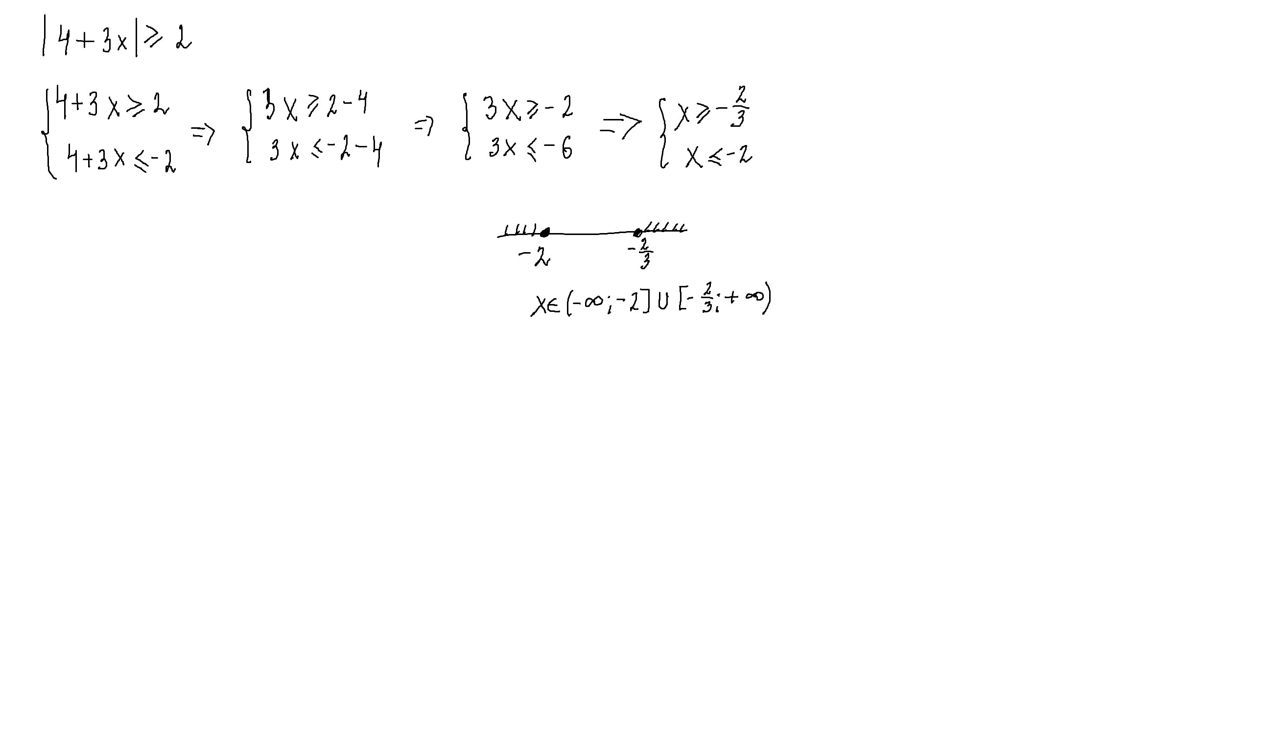
решить уравнения:|4+3х|≥2
Ответы
Автор ответа:
1
Ответ:
Пошаговое объяснение:
решение смотри внизу
Приложения:
Похожие вопросы
Предмет: Русский язык,
автор: uxovan
Предмет: Русский язык,
автор: mariiagoleusova704
Предмет: География,
автор: aanser0123456
Предмет: Математика,
автор: макс1815
Предмет: Математика,
автор: yulia12212