Предмет: Алгебра, автор: darya141

"показательная и логарифмические функции"-тема

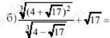
найдите значение выражения

 

Приложения:

Ответы

Автор ответа: konrad509
0

\frac{sqrt[3]{(4+sqrt{17})^2}}{sqrt[3]{4-sqrt{17}}}+sqrt{17}=\ sqrt[3]{frac{(4+sqrt{17})^2}{4-sqrt{17}}}+sqrt{17}=\ sqrt[3]{frac{(4+sqrt{17})^2(4+sqrt{17})}{(4-sqrt{17})(4+sqrt{17})}}+sqrt{17}=\ sqrt[3]{frac{(4+sqrt{17})^3}{16-17}}+sqrt{17}=\ sqrt[3]{-(4+sqrt{17})^3}+sqrt{17}=\ -(4+sqrt{17})+sqrt{17}=\ -4-sqrt{17}+sqrt{17}=\ -4

Похожие вопросы
Предмет: Музыка, автор: annag23