Предмет: Математика,
автор: kseniya705
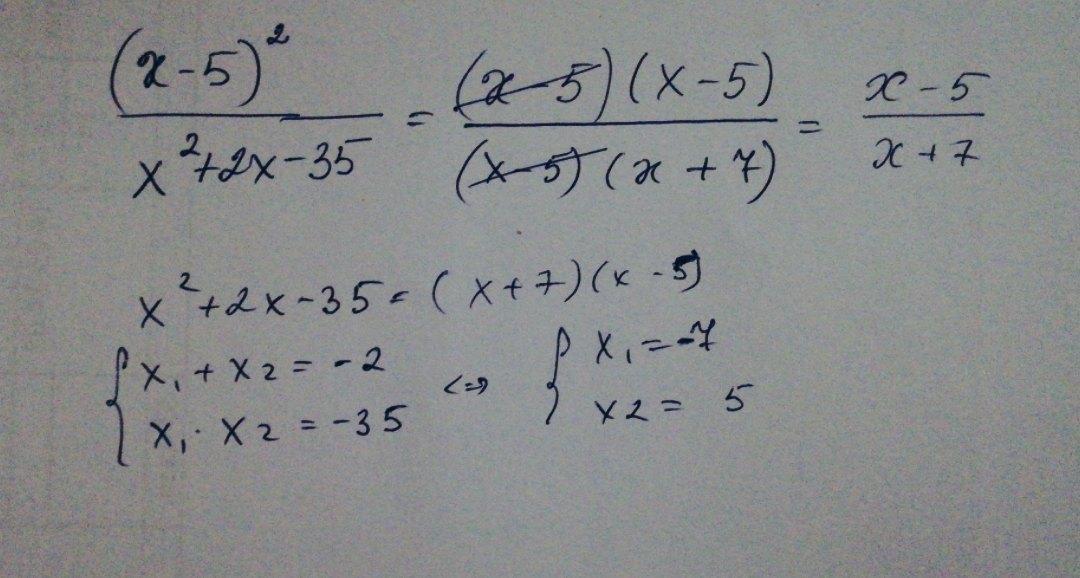
Сократи дробь числитель (x−5)^2 знаменатель x^2+2x−35 .
Ответы
Автор ответа:
0
Пошаговое объяснение:
Приложения:
Похожие вопросы
Предмет: Українська література,
автор: Аноним
Предмет: Математика,
автор: efjhew
Предмет: Физика,
автор: 7pm8vchpvy
Предмет: Математика,
автор: veronika251
Предмет: Математика,
автор: egor9974