Предмет: Алгебра,
автор: vardananasmik2885
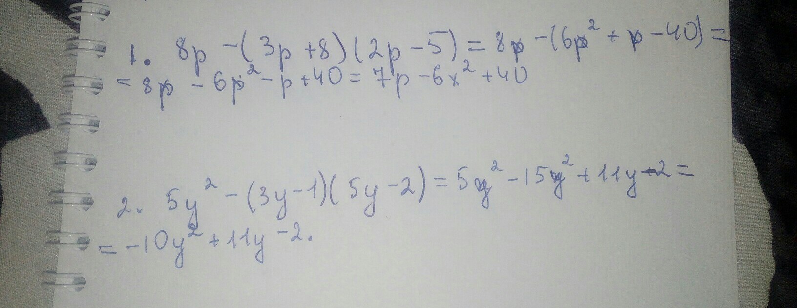
Упростите : а) 8p-(3p+8)(2p-5)
б)5y^2-(3y-1)(5y-2)
СРОЧНО!!! ПОМОГИТЕ ПЖЛЛЛ(((
Ответы
Автор ответа:
1
вот правильный ответ
Приложения:
Автор ответа:
0
а)8р-(6р^2-15р+16р-40)
8р-(6р^2+р-40)
8р-6р^2р+40
7р-6р^2+40
-6р^2+7р+40
б)5у^2-(15у^2-6у-5у+2)
5у^2-(15у^2-11у+2)
5у^2-15у^2+11у-2
-10у^2+11у-2
Похожие вопросы
Предмет: Другие предметы,
автор: matvejsvicka
Предмет: Математика,
автор: annapol30102010
Предмет: Физика,
автор: littleraccoon125
Предмет: Математика,
автор: IrinaZoloeva
Предмет: Математика,
автор: hhhttt1520