Предмет: Математика,
автор: arinakpop12
решите пожалуйста! желательно с обьяснением
Приложения:
Ответы
Автор ответа:
1
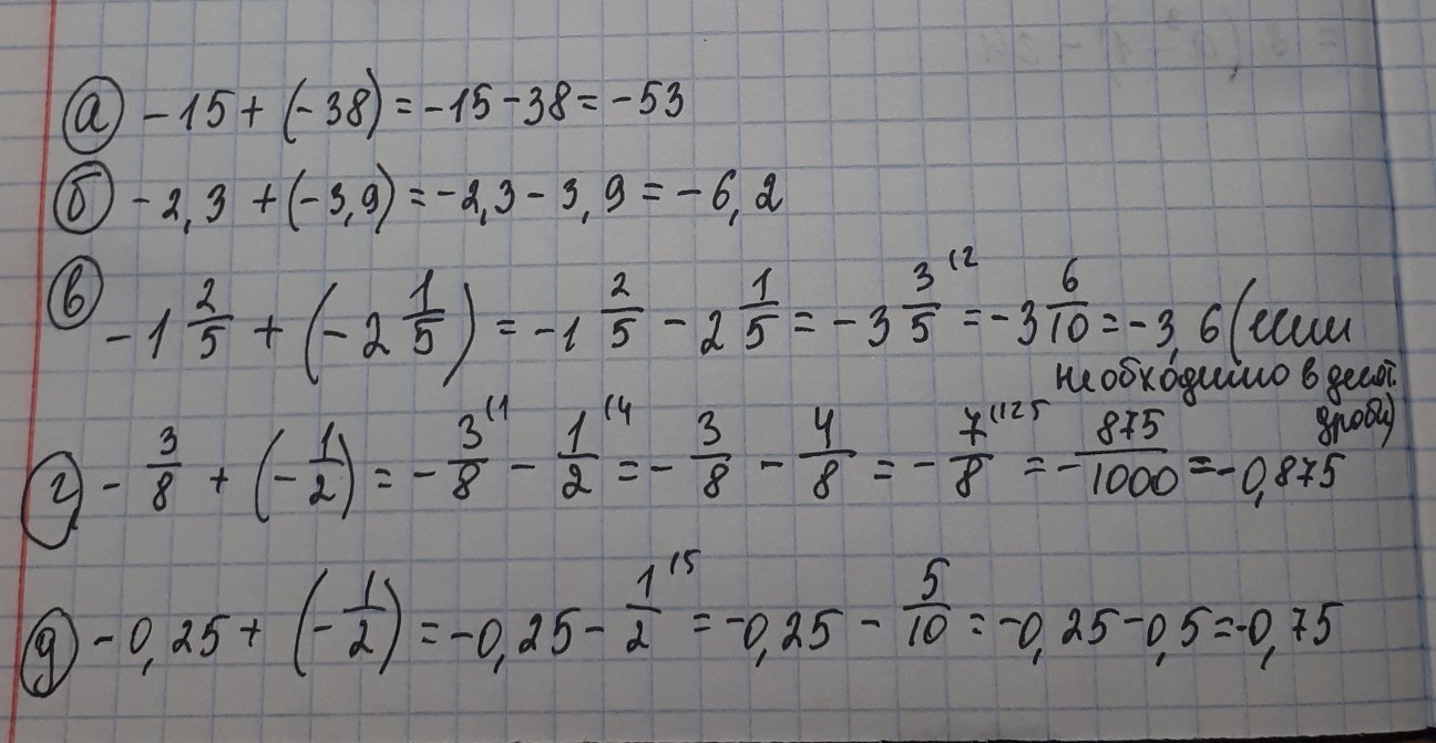
Решение на фото!
_______________________________
удачи))
Понравилось решение?Жми ЛУЧШИЙ!)
_______________________________
удачи))
Понравилось решение?Жми ЛУЧШИЙ!)
Приложения:
Похожие вопросы
Предмет: Другие предметы,
автор: nurkenasenbaj
Предмет: Химия,
автор: mashamihalest
Предмет: Українська мова,
автор: ladydiona
Предмет: Обществознание,
автор: Аноним
Предмет: Математика,
автор: stepansmatios