Предмет: Математика,
автор: Didar104
Помогите с высшматом,пожалуйста!)))
Приложения:
Ответы
Автор ответа:
1
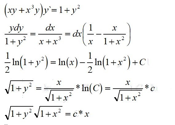
переменные разделяются
решение во вложении
Приложения:
Похожие вопросы
Предмет: Алгебра,
автор: grisenkovalerij80
Предмет: Алгебра,
автор: grisenkovalerij80
Предмет: Математика,
автор: thevortextop
Предмет: Литература,
автор: Аноним
Предмет: История,
автор: Полинтус