Предмет: Математика,
автор: nazrinbagirova
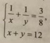
решите пожалуйста систему уравнений
Приложения:
Ответы
Автор ответа:
1
Ответ:
Пошаговое объяснение:
единственное решение первой сис. 1/4+1/8
х=4
у=8
Автор ответа:
0
получится два ответа
Приложения:
Похожие вопросы
Предмет: Английский язык,
автор: rblxaruna123
Предмет: Русский язык,
автор: xuxamoxmox
Предмет: Геометрия,
автор: elistratovaevgenia24
Предмет: Алгебра,
автор: ghfhfjhtyyhtf
Предмет: Математика,
автор: Anike1