Предмет: Алгебра, автор: petrova1978

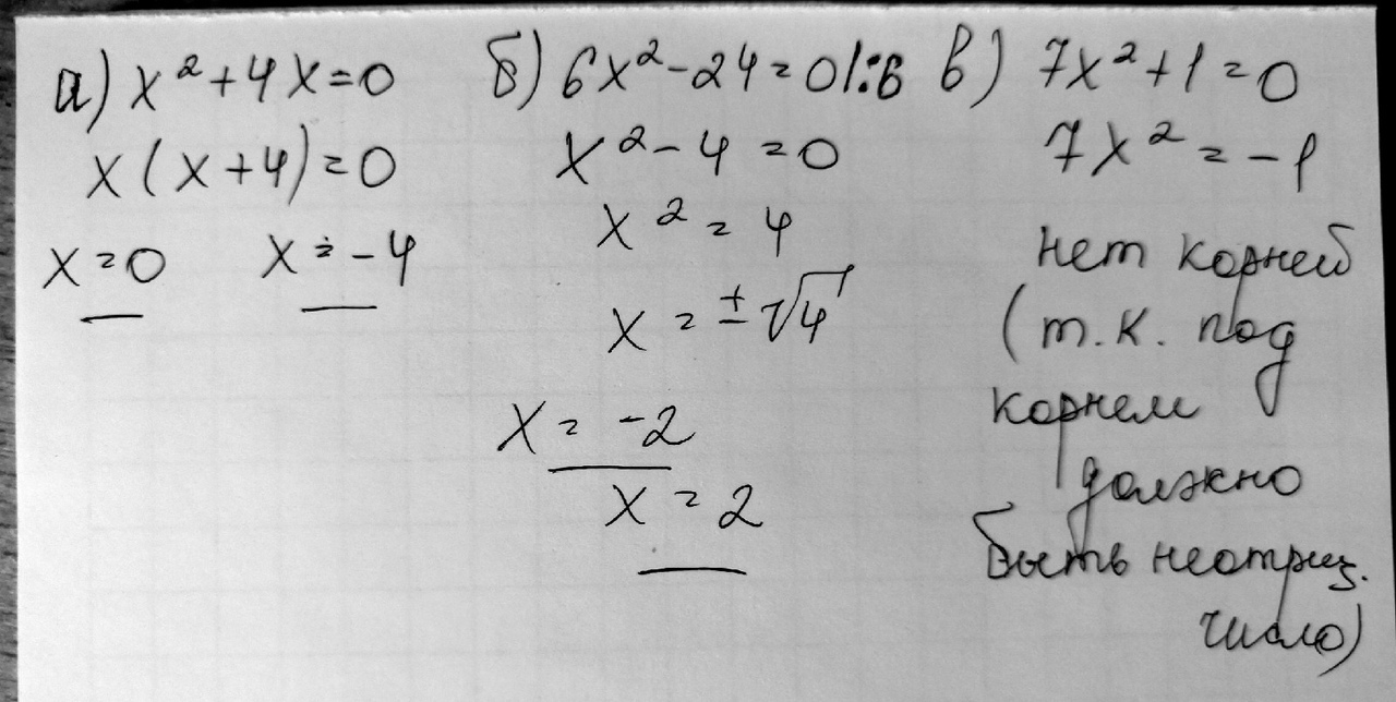
решите неполное квадратное уравнение: а) х²+4х=0 ; б) 6х²-24=0 ; в) 7х²+1=0

Ответы

Автор ответа: Wuxtendоr
0

a)x(x+4)=0

x=0;x=-4

b)x^2=4

x=2;x=-2

c)x^2=-1/7

уравнение корней не имеет

Автор ответа: ClarisVerbis
1

........... Решение прикреплено ...........

Приложения:
Похожие вопросы
Предмет: Экономика, автор: margochuprova15
Определите цеховую, производственную и полную себестоимость продукции по следующим данным:
1. стоимость сырья и материалов – 90,0 тыс. руб.;
2. стоимость покупных комплектующих и полуфабрикатов – 137,0 тыс. руб.;
3. заработная плата руководителя организации (включая начисления ЕСН) – 60,0 тыс. руб.;
4. Заработная плата рабочих- наладчиков производственного оборудования (с отчислениями)- 38,5 тыс. руб.;
5. Потери от брака готовой продукции – 11,1 тыс. руб.;
6. расходы на теплоэнергию, используемую для обеспечения производственного процесса – 35,0 тыс. руб.;
7. расходы на содержание производственного оборудования в цехах основного производства – 20,5 тыс. руб.;
8. расходы на содержание оборудования в цехах вспомогательного производства – 18,7 тыс. руб.;
9. расходы на содержание аппарата управления –24,6 тыс. руб.;
10. расходы на содержание бухгалтерской службы – 6,7 тыс. руб.;
11. амортизация офисной мебели – 12,3 тыс. руб.;
12. амортизация нематериальных активов – 17,5 тыс. руб.;
13. заработная плата производственных рабочих – 41,7 тыс. руб.;
14. начисления на заработную плату производственных рабочих – 10,8 тыс. руб.;
15. расходы на командировки сотрудников аппарата управления – 8,8 тыс. руб.;
16. внепроизводственные расходы - 17,8 тыс. руб.
Предмет: Алгебра, автор: polinaOst23