Предмет: Алгебра,
автор: ddrtyu667
помогите пожалуйста!!!!
Приложения:
Ответы
Автор ответа:
0
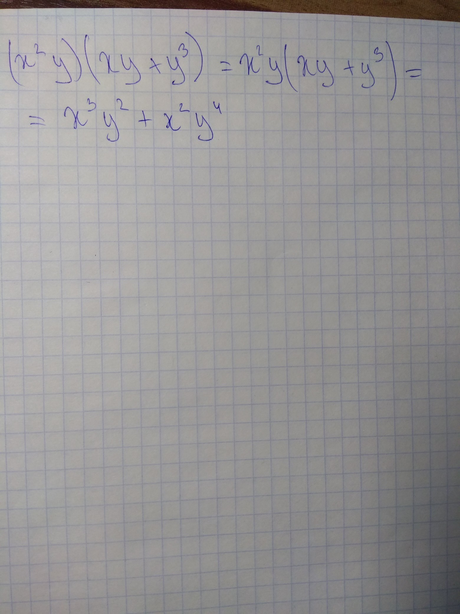
Решение на фото будут вопросы пишите
Приложения:
ddrtyu667:
спасибо
Похожие вопросы
Предмет: Информатика,
автор: sophiyasour
Предмет: Математика,
автор: pastusokroma888
Предмет: Литература,
автор: strelkovavika2009
Предмет: Математика,
автор: 1минина
Предмет: Геометрия,
автор: 312546978