Предмет: Алгебра, автор: варюшка146

Ребят, помогите, пожалуйста!! Очень нужно, срочно!

Приложения:

Ответы

Автор ответа: SYSTEMCORE
1

\displaystyle 3\cdot4^{x-2}+27=a+a\cdot4^{x-2}\\\\3\cdot4^{x-2}-a\cdot4^{x-2}=a-27\\\\4^{x-2}(3-a)=a-27\\\\\frac{4^{x}}{16}=\frac{a-27}{3-a}\\\\x=\log_4\frac{16(a-27)}{3-a}

Под знаком логарифма должно быть положительное число:

\displaystyle \frac{16(a-27)}{3-a}>0\\\\\frac{a-27}{a-3}<0\\\\ \underline{\quad + \quad \quad\quad 3\quad \quad - \quad \quad 27 \quad \quad + \quad \quad}\\\\\boxed{a\in(3;27)}

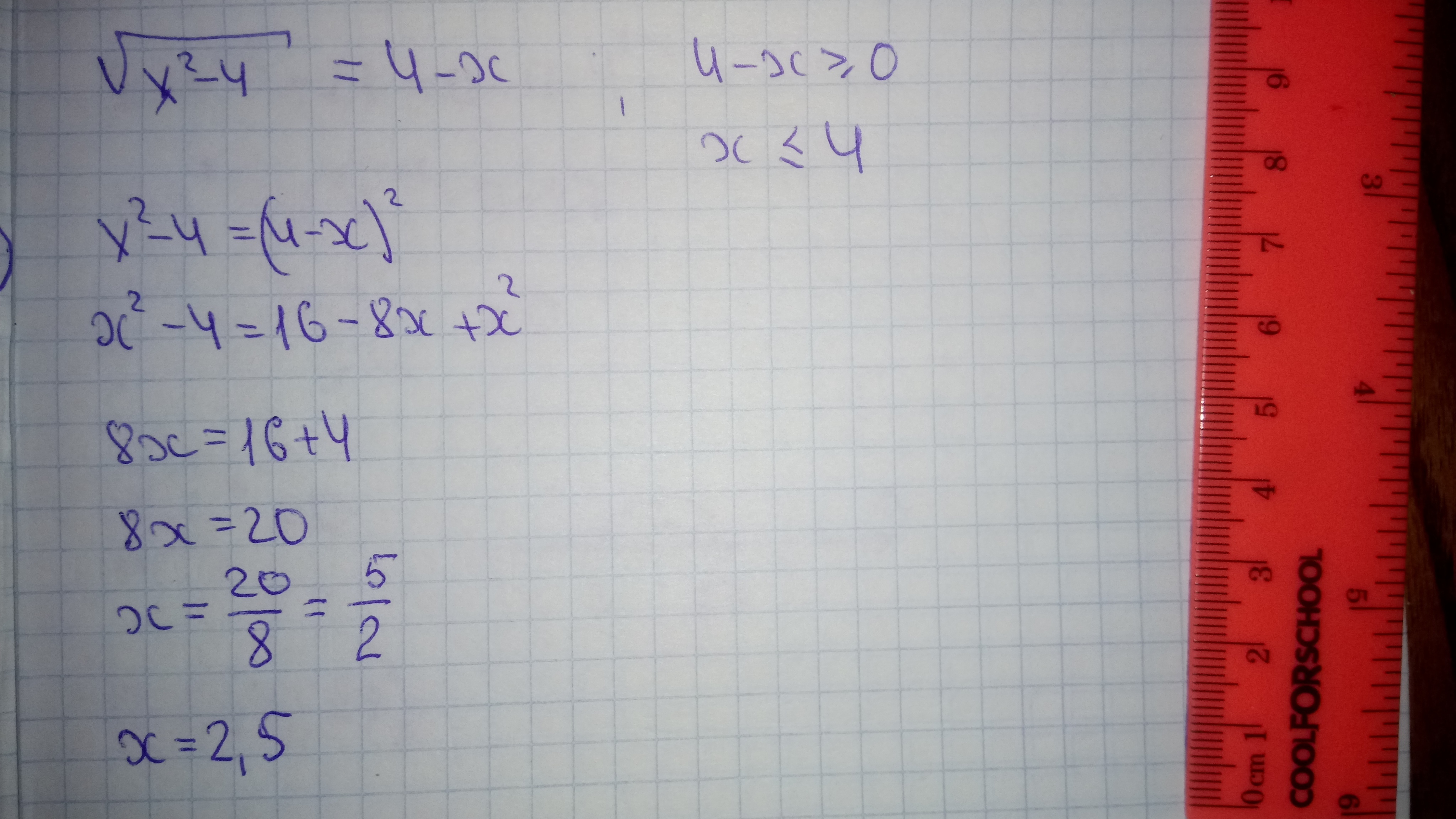
\displaystyle 2^{x+\sqrt{x^2-4}}-5\cdot(\sqrt{2})^{x-2+\sqrt{x^2-4}}-6=0\\\\2^{x+\sqrt{x^2-4}}-\frac{5}2\cdot(\sqrt{2})^{x+\sqrt{x^2-4}}-6=0\\\\2^{x+\sqrt{x^2-4}}=t^2,\quad t>0\\\\t^2-\frac{5}2\cdot t-6=0\\\\2t^2-5t-12=0\\\\\text{D}=25+4\cdot2\cdot12=121=11^2\\\\t_1=\frac{5+11}{4}=\frac{16}4=4\\\\t_2=\frac{5-11}4=-\frac{6}4<0\quad \rightarrow \quad \varnothing \quad (t>0)\\\\\\2^{x+\sqrt{x^2-4}}=t^2, \quad t=4\\\\2^{x+\sqrt{x^2-4}}=4^2\\\\2^{x+\sqrt{x^2-4}}=2^4\\\\x+\sqrt{x^2-4}=4\\\\\sqrt{x^2-4}=4-x

\displaystyle \sqrt{x^2-4}=4-x\\\\x^2-4=(4-x)^2, \quad 4-x\geq 0\quad \rightarrow\quad -x\geq -4\quad \rightarrow\quad x\leq 4\\\\x^2-4=x^2-8x+16\\\\8x=16+4\\\\8x=20\\\\x=\frac{20}8=\frac{5}2=\boxed{2.5}


SYSTEMCORE: Согласен
Автор ответа: Аноним
1

Решение задания приложено

Приложения:
Похожие вопросы