Предмет: Математика,
автор: fdefas
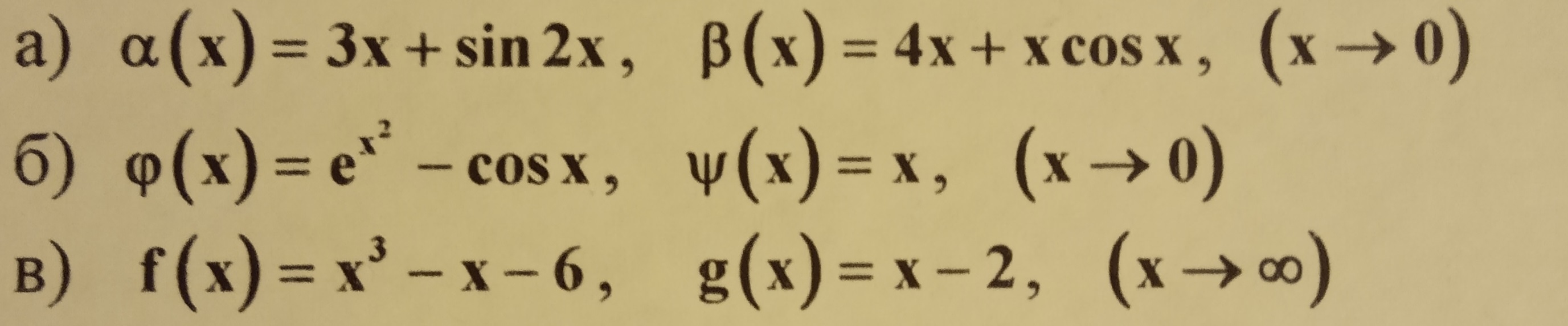
Сравнить функции при x → x₀
Приложения:
Ответы
Автор ответа:
1
Посмотрите предложенный вариант решения.
В качестве ответа к пределу а) одинакового порядка малости; к пределу б) первая более высокого порядка малости; к пределу в) первая более высокого порядка роста.
Приложения:
Похожие вопросы
Предмет: Русский язык,
автор: Аноним
Предмет: Литература,
автор: tolibaytauishov
Предмет: Обществознание,
автор: vasilevt513
Предмет: Математика,
автор: 1234732
Предмет: Биология,
автор: Nokil2001