Предмет: Математика,
автор: Anilian
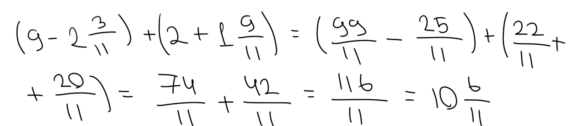
( 9 целых - 2 целых 3\11 ) + ( 2целых + 1целая 9\11 ) = ? ( сколько? ) помогите решить П.ж!!!!
Приложения:
Ответы
Автор ответа:
2
Ответ на картинке, удачи <3
Приложения:
Похожие вопросы
Предмет: Русский язык,
автор: akylajmakeeva645
Предмет: Математика,
автор: xzkto3628
Предмет: Литература,
автор: dasaasenko62
Предмет: Музыка,
автор: satbatva04
Предмет: Математика,
автор: Аноним