Предмет: Алгебра,
автор: mogila00151
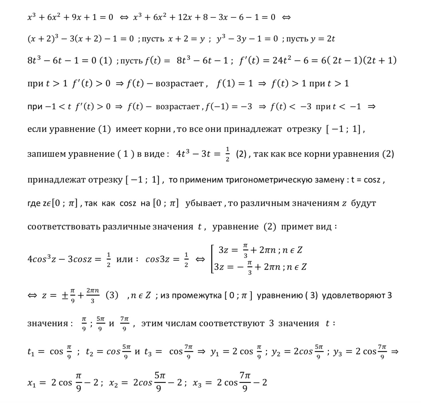
z^3+6z^2+9z+1=0 помогите очень надо решение
antonovm:
корни : 2cos(pi/9) -2 ; 2cos ( 5pi/9
2cos (5pi/9 ) - 2 и 2cos(7pi/9) -2 - 3 действительных корня
2 замены и тригонометрическая подстановка , это в каких школах такие гробики дают ?
Ответы
Автор ответа:
1
Решение : ////////////////////////////
Приложения:
Похожие вопросы
Предмет: Математика,
автор: kynnuexistence
Предмет: Биология,
автор: mavrodiu1900
Предмет: Английский язык,
автор: nazar8331
Предмет: Химия,
автор: nnepochatyh
Предмет: История,
автор: КляксаЗ