Предмет: Алгебра,
автор: mirkula2011
нужно решить срочно!!!!
Приложения:
Ответы
Автор ответа:
1
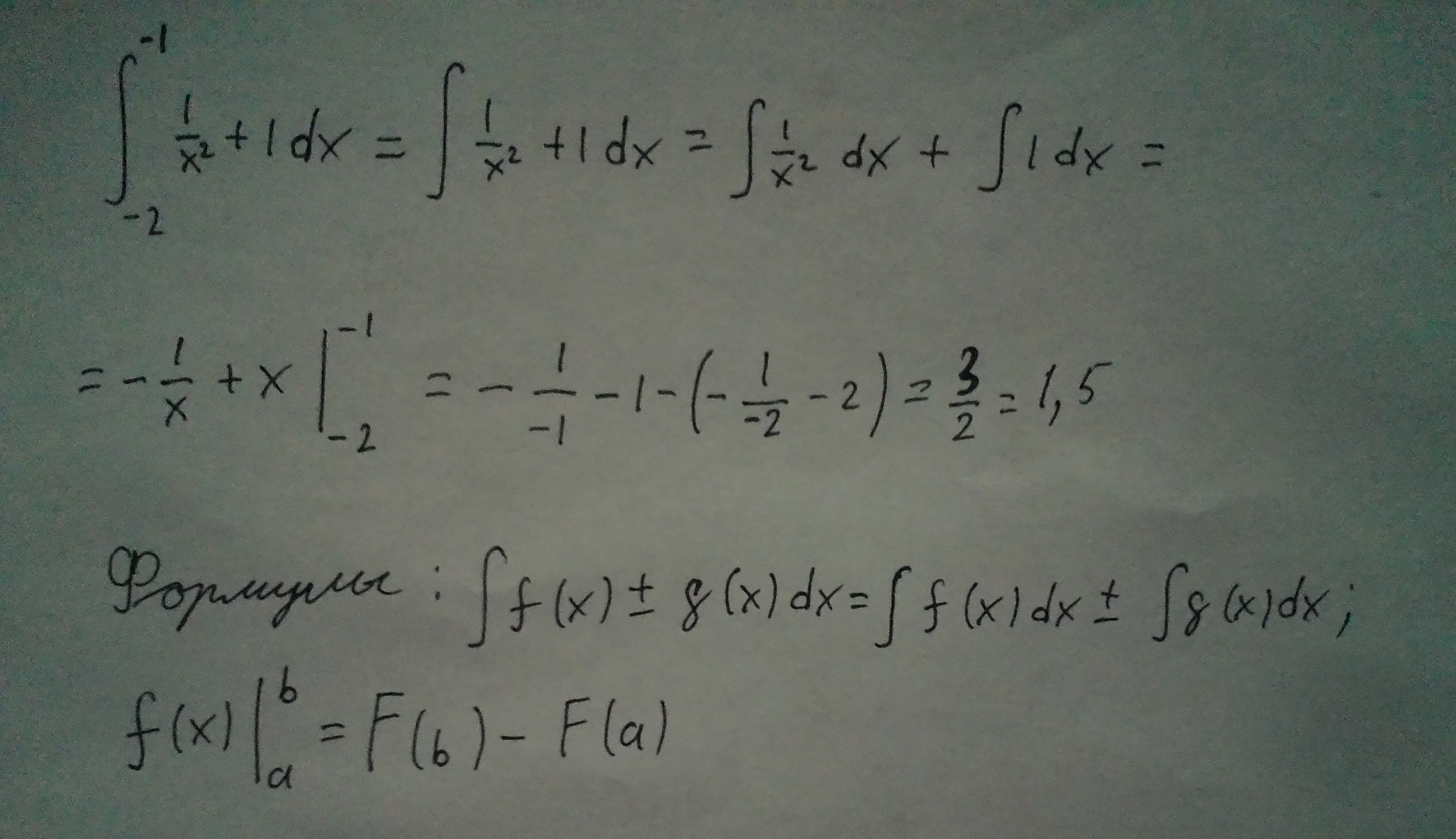
Especially for you...
Приложения:
Похожие вопросы
Предмет: Литература,
автор: safin4795
Предмет: Немецкий язык,
автор: shestopal283
Предмет: Қазақ тiлi,
автор: bebrik1170
Предмет: Литература,
автор: olesyааааа
Предмет: История,
автор: vladfriedrich2015
Не получается прикрепить фото. Раз 10 пытался.