Предмет: Математика,
автор: Аноним
срочно 50 балов
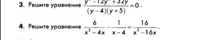
задание 4
Приложения:
Ответы
Автор ответа:
2
Решение на фото будут вопросы пишите
Приложения:
Beside:
что такое фотомэч? И что вообще за наезды, вместо "спасибо"?
Есть разные способы решения, я решаю так, как мне удобно, чтобы было понятно.
Похожие вопросы
Предмет: Русский язык,
автор: milkabounty38
Предмет: География,
автор: Аноним
Предмет: Математика,
автор: Аноним
Предмет: Математика,
автор: Самурай2003