Предмет: Математика, автор: mariklik

Помогите пожалуйста с примерами

Приложения:

Ответы

Автор ответа: jekadva
1

Ответ:

Пошаговое объяснение:

8 - x = 3 7/9

x = 8 - 3 7/9

x = 7 9/9 - 3 7/9

x = 4 2/9

----------

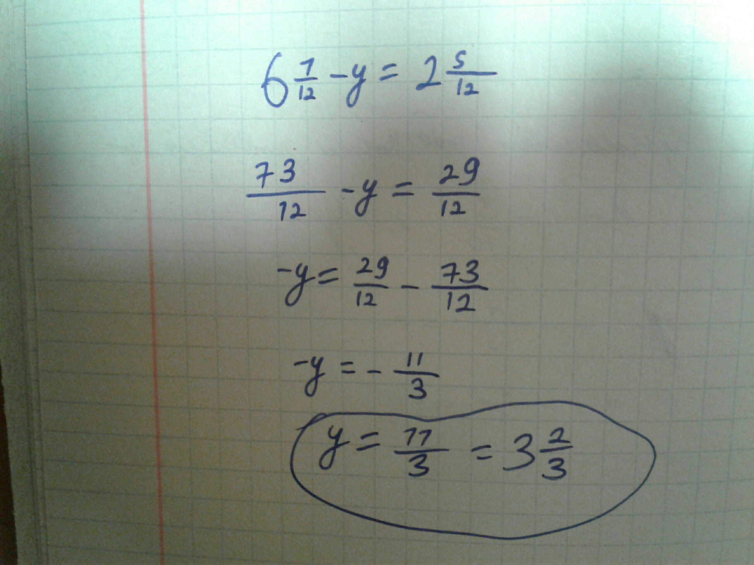
6 1/12 - y = 2 5/12

y = 6 1/12 - 2 5/12

y = 5 13/12 - 2 5/12

y = 3 8/12

y = 3 2/3

Автор ответа: of13603
1

решение пиши на фото

Приложения:

mariklik: Помоги пж
mariklik: Привет.можешь помочь с литературой?
of13603: может с алгеброй?
of13603: алгебра есть?
of13603: ау
mariklik: Нет(её уже сделала
of13603: очень жаль
mariklik: Привет помоги пж
Похожие вопросы
Предмет: Математика, автор: Аноним
Предмет: Биология, автор: nastenasaharova
Предмет: Физика, автор: ЗАЛИМА