Предмет: Алгебра,
автор: FortAgarti
Помогите пожалуйста.
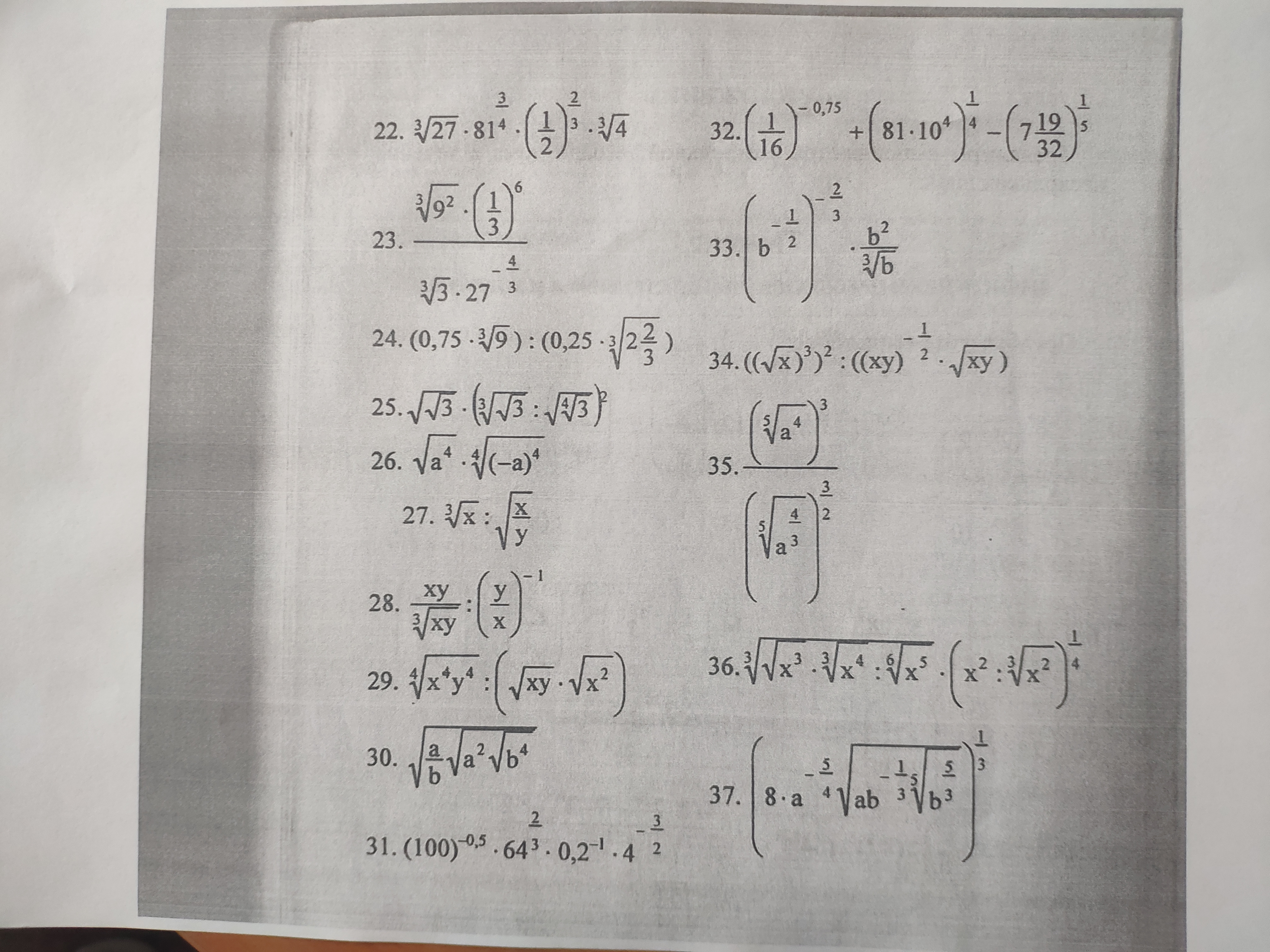
Решить с 22 по 25.
Приложения:
Ответы
Автор ответа:
1
коротко, но ясно) .......
Приложения:
Похожие вопросы
Предмет: Русский язык,
автор: Golofastserg
Предмет: Геометрия,
автор: zanakulovamir2
Предмет: Другие предметы,
автор: dariakavardakova
Предмет: Математика,
автор: Drim1