Предмет: Математика,
автор: Feerdenant
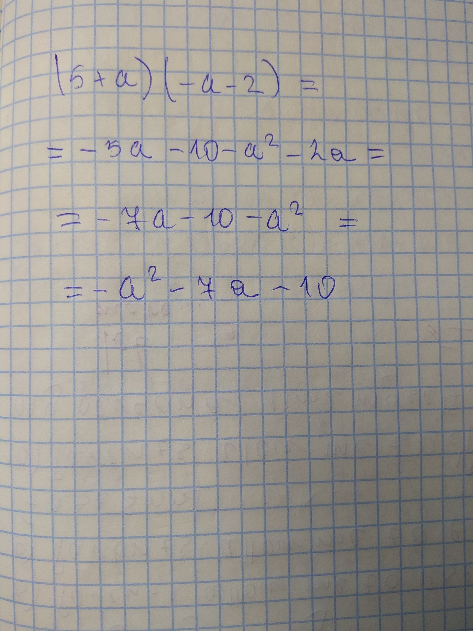
(5+a)(-a-2)=
помогите
Megapapirus123321:
Я написал ответ смотри ниже
Cnjq gthpfuhepb cnhfybwe nfv tot rjczr b z tuj bcghfdbk
Перезагрузи страницу там еще один косяк и я его исправил
Ответы
Автор ответа:
1
Решение на фото будут вопросы пишите
Приложения:
Похожие вопросы
Предмет: Окружающий мир,
автор: bekkuanysovafatima
Предмет: Математика,
автор: amiraizzat207
Предмет: Английский язык,
автор: agg53024
Предмет: Химия,
автор: aleksvetlana
Предмет: Литература,
автор: Алина7654