Предмет: Математика,
автор: temakvaniuk
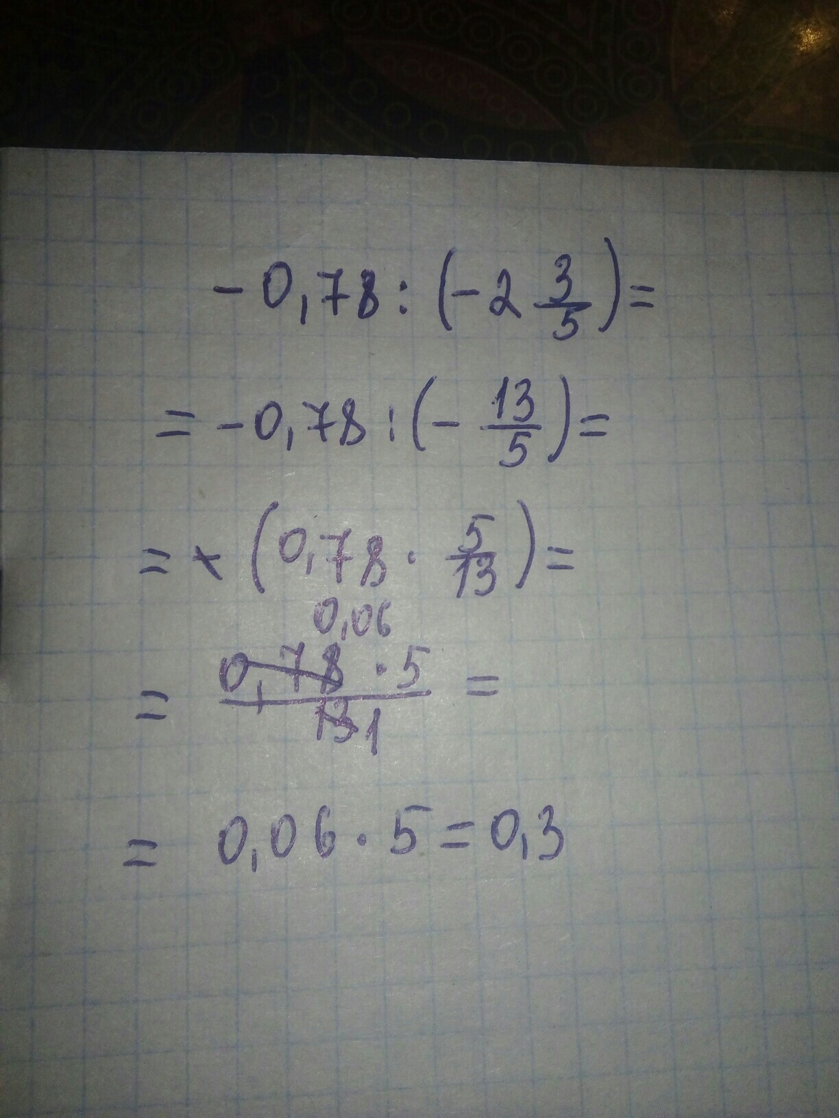
вычислите -0,78:(-2целое 3/5 три пятых) помогите пожалуйста
Ответы
Автор ответа:
1
Автор ответа:
0
ответ во вложении)))
(где зачёркнуты цифры там сокращение)
(где зачёркнуты цифры там сокращение)
Приложения:
Похожие вопросы
Предмет: Математика,
автор: Ahhh333
Предмет: Литература,
автор: kikoiki
Предмет: Литература,
автор: androsovartem519
Предмет: Биология,
автор: 1110200
Предмет: Физика,
автор: deltaheavy661