Предмет: Алгебра,
автор: XXXenomorph
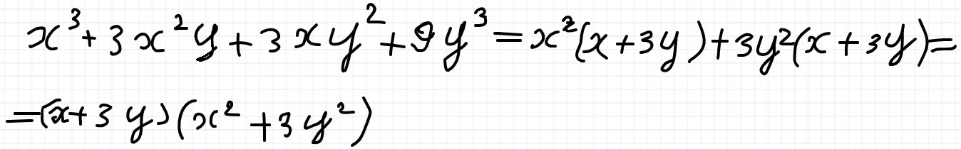
СРОЧНО! Разложите на множители
Приложения:
Ответы
Автор ответа:
1
*********************
Приложения:
Похожие вопросы
Предмет: Қазақ тiлi,
автор: amanzoldaniar250
Предмет: Окружающий мир,
автор: taytay1208777
Предмет: Алгебра,
автор: spamgg002
Предмет: Алгебра,
автор: aleksandrapitenko
Предмет: География,
автор: 20КаРеГЛаЗаЯ02