Предмет: Алгебра,
автор: PollyPanda07
ДАЮ 77 БАЛЛОВ!!! СРОЧНО!
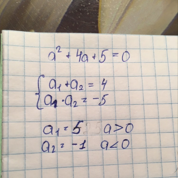
докажите что при каждом значении а выражение принимает положительное значение:
a^2+4a+5
a^2-6a+10
4a^2+4a+9
a^2-a+1
9a^2+12a+17
Ответы
Автор ответа:
0
Ну вообще это квадратные уравнения их решить надо. Я думаю по другому здесь никак.Но в квадратных уравнениях имеется два корня.
Приложения:
Автор ответа:
0
на фото..................
Приложения:
Похожие вопросы
Предмет: Английский язык,
автор: Аноним
Предмет: Другие предметы,
автор: Аноним
Предмет: Русский язык,
автор: Аноним
Предмет: Математика,
автор: папоивеп