Предмет: Алгебра,
автор: lika114
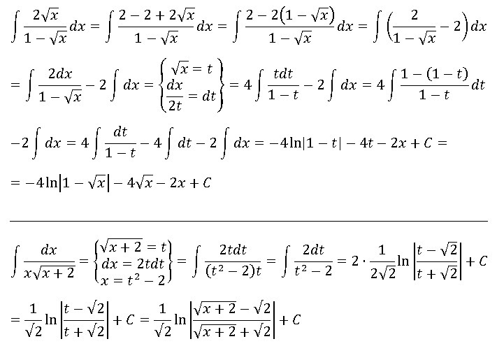
Помогите пж с интегралами, срочно нужно:


Ответы
Автор ответа:
2
Решение на картинке..
Приложения:
lika114:
спасибочки)
Похожие вопросы
Предмет: Математика,
автор: polinaluch160310
Предмет: Другие предметы,
автор: mchebanaya26
Предмет: Русский язык,
автор: nikxuwf
Предмет: Геометрия,
автор: mikaa2001
Предмет: Биология,
автор: Alya6671