Предмет: Алгебра,
автор: Аноним
прошу помогите. Очень срочно
Приложения:
Ответы
Автор ответа:
1
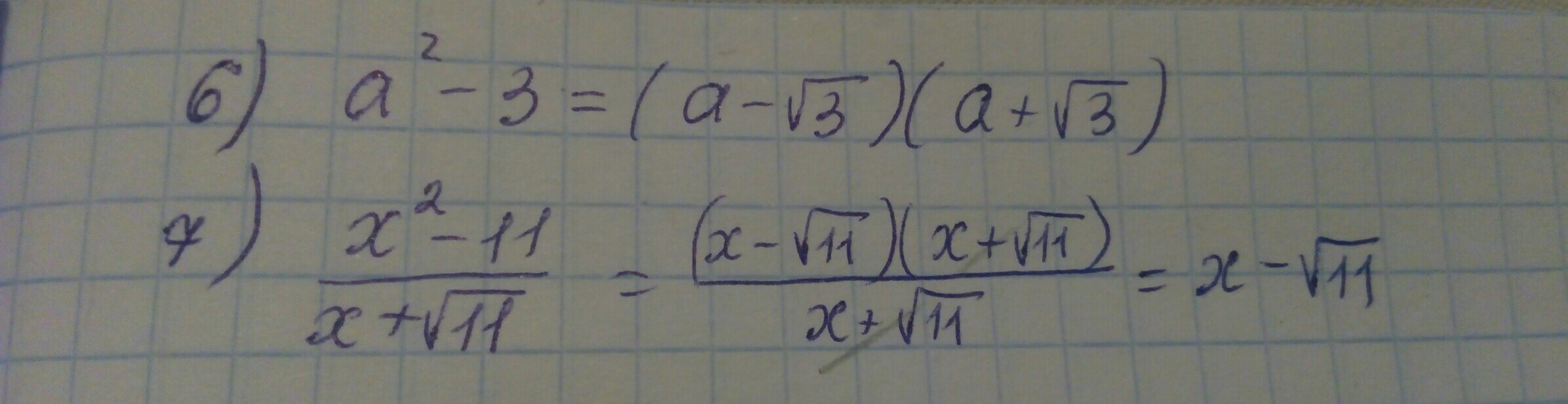
решение в прикреплённом файле
Приложения:
Похожие вопросы
Предмет: Математика,
автор: kisalajk77
Предмет: Математика,
автор: badalismail
Предмет: Математика,
автор: qqwertoqu
Предмет: Математика,
автор: щвьжмотбил