Предмет: Алгебра,
автор: wolfii
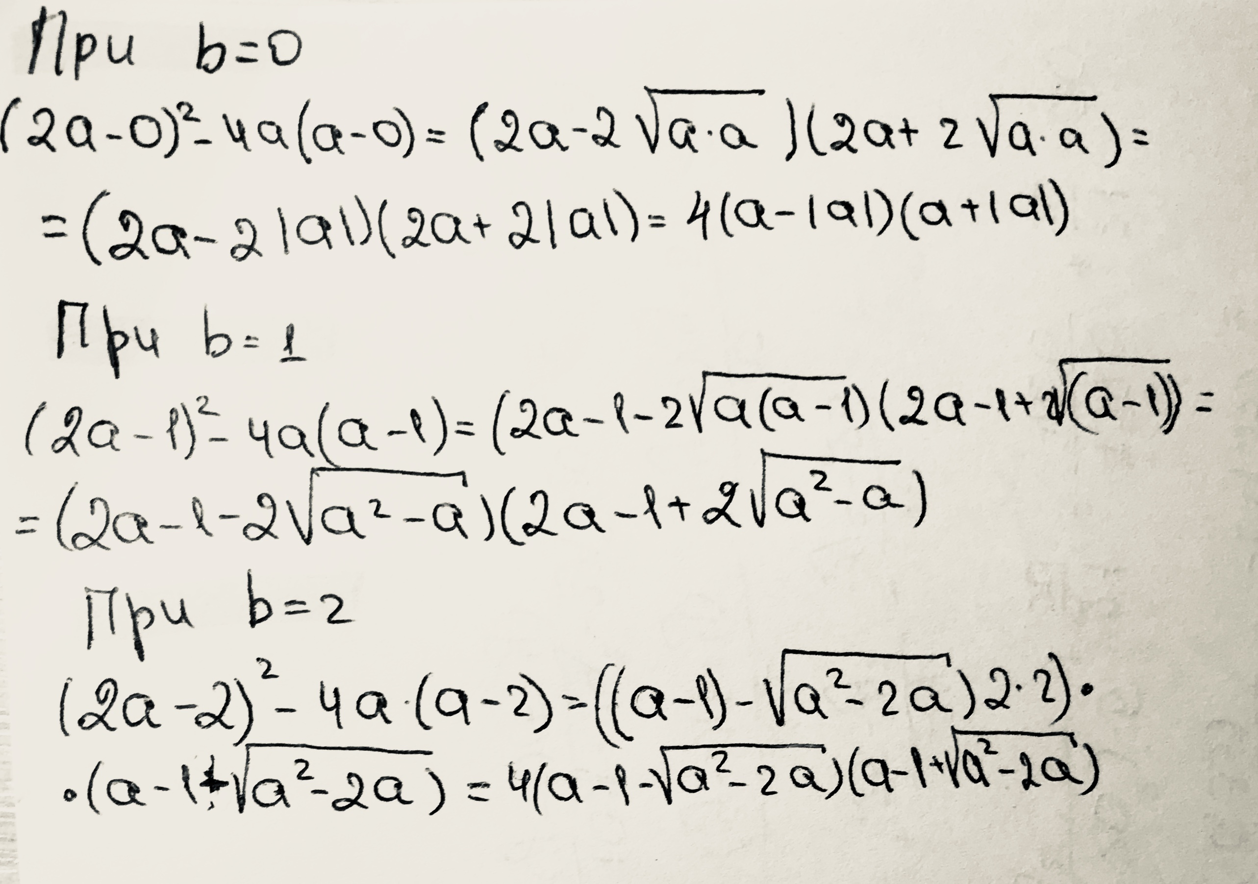
найдите значения выражения
Приложения:
Ответы
Автор ответа:
1
Ответ: недостаточно информации
Приложения:
Похожие вопросы
Предмет: Русский язык,
автор: kazeeveduard
Предмет: Математика,
автор: nana36mama
Предмет: Математика,
автор: KhalvaLi
Предмет: Математика,
автор: LittleDevil19
Предмет: Математика,
автор: polina141108