Предмет: Алгебра,
автор: катиперри
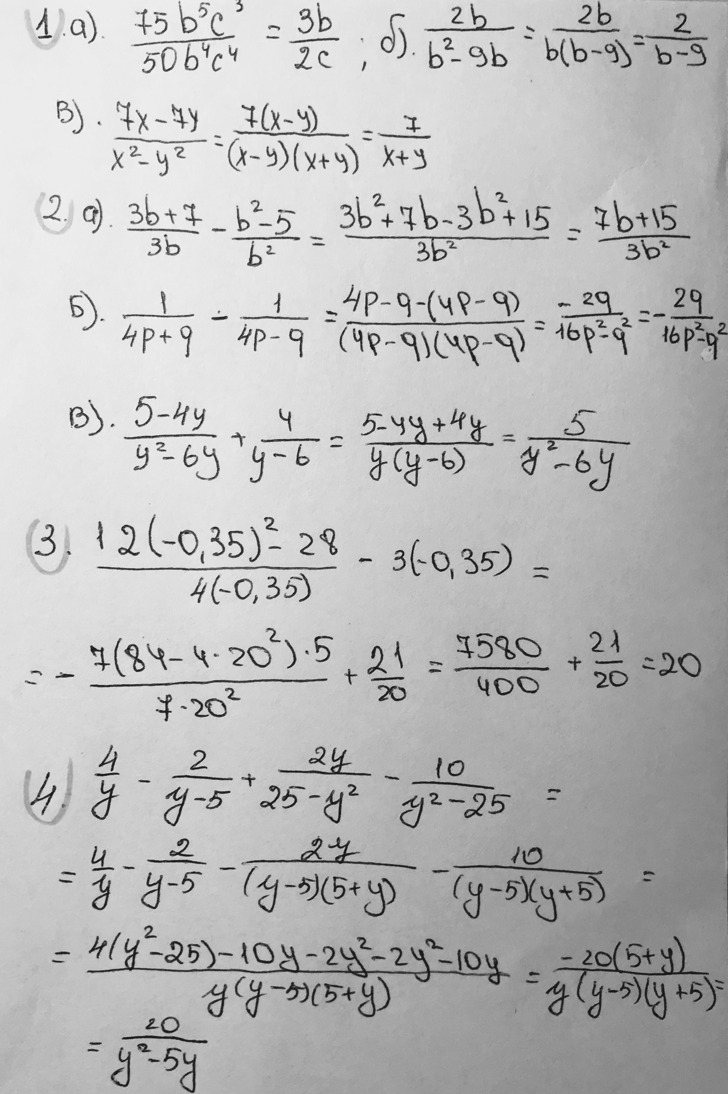
Можете на листе бумаге номера 1,2,3,4
Приложения:
Ответы
Автор ответа:
0
все Номера сделаны верно.
Приложения:
Похожие вопросы
Предмет: Математика,
автор: oks0308
Предмет: Математика,
автор: dinaz2587
Предмет: Информатика,
автор: Hf6
Предмет: Математика,
автор: Lizunchik575
Предмет: Математика,
автор: kirillchickoma