Предмет: Алгебра,
автор: emilation
помогите срочно, 100 балов
Приложения:
Ответы
Автор ответа:
2
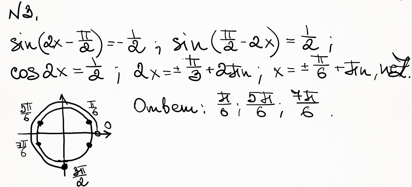
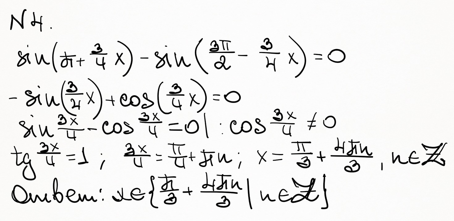
Ответы с решениями во вложениях.
Более пяти файлов не получается загрузить, так что на первый номер дам ответы без решения.
№1.
a)
б)
Приложения:
Похожие вопросы
Предмет: Биология,
автор: lnaumov631
Предмет: Химия,
автор: ViktoriaPobloki
Предмет: Информатика,
автор: user3335
Предмет: Математика,
автор: dima12318
Предмет: Литература,
автор: lelyapanarinama