Предмет: Алгебра, автор: ElenkaLana

Помогите,пожалуйста!
(задание во вложении)
Первые 3 решила,эти никак :с
Поподробнее,если можно.
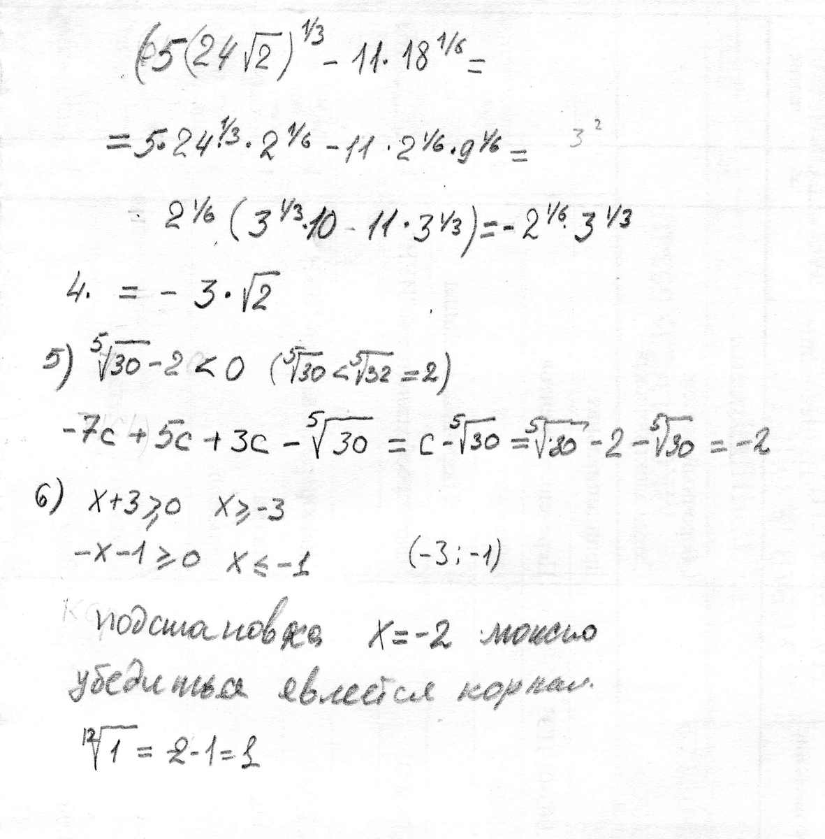
4.Вычислите
5.Найдите значение выражения
6.Решите уравнение 

Приложения:

Ответы

Автор ответа: Гоша68
0
решил остальные............................
Приложения:
Похожие вопросы
Предмет: Алгебра, автор: reedyman