Предмет: Математика,
автор: mariana290899
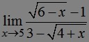
Решите пожалуйста
это очень срочно
Приложения:
Ответы
Автор ответа:
0
Ответ:
Пошаговое объяснение:
Приложения:
Похожие вопросы
Предмет: Другие предметы,
автор: Voproshandra
Предмет: Английский язык,
автор: alexeygrom29
Предмет: Алгебра,
автор: DmitryKarat
Предмет: Математика,
автор: ника1483
можно без объяснений