Предмет: Алгебра,
автор: katyakotttik
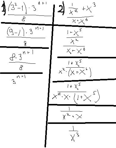
Помогите решить,пожалуйста.
Помогитеее
Приложения:
Ответы
Автор ответа:
0
...........................................
Приложения:
Похожие вопросы
Предмет: Қазақ тiлi,
автор: nrsltanorazbaj010
Предмет: Русский язык,
автор: katrinad2010
Предмет: Математика,
автор: Аноним
Предмет: Математика,
автор: slamiami
Предмет: Геометрия,
автор: as567