Предмет: Алгебра,
автор: Iljakornev05
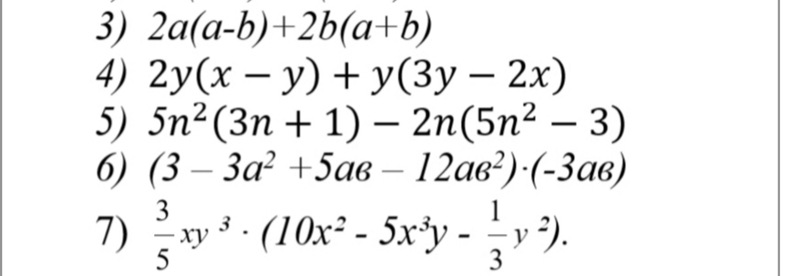
Помогите пж! Умножение одночлена на многочлен.
Приложения:
Ответы
Автор ответа:
0
3)2а^2-2аб+2аб+2б^2=2а^2+2б^2=2(а^2+б^2)
Похожие вопросы
Предмет: Математика,
автор: aliyashalagaova
Предмет: Математика,
автор: Аноним
Предмет: Русский язык,
автор: ismayilovyaqub
Предмет: Математика,
автор: Fatima29