Предмет: Математика,
автор: lyudsiya1337
Помогите пожалуйста!
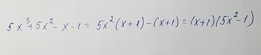
5х³+5х²-х-1
Ответы
Автор ответа:
1
решение задания смотри на фотографии
Приложения:
lyudsiya1337:
спасибо огромное
пожалуйста
В самом вопросе не указана задача, тогда почему бы не воспользоваться формулой разности квадратов и разложить на более простые множетели?
В этом задании ничего больше не сделаешь.Это видно и без условия.
Извините,забыл написать
ничего. Мне было понятно.
Можете ответ написать,у меня новый вопрос,и баллов больше
Знаешь, это верный ответ, зачем надо было создавать новый?
Похожие вопросы
Предмет: Английский язык,
автор: matveid56
Предмет: Биология,
автор: timyrnechay
Предмет: Русский язык,
автор: Tem1302
Предмет: Физика,
автор: Облачко14
Предмет: Математика,
автор: 556677567лизунька