Предмет: Алгебра,
автор: DimaPot
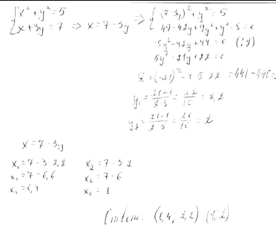
помогите решить систему уравнений {(x^(2)+y^(2)=5)
{(x+3y=7):
Ответы
Автор ответа:
1
Не знаю правильно ли это. Думаю что да
Приложения:
DimaPot:
всеравно спосибо за оперативность
а поможеш решить еще одно задание {x-2y=1,xy+y=12}
Похожие вопросы
Предмет: Геометрия,
автор: futagesp
Предмет: Музыка,
автор: eryzhenina13
Предмет: Информатика,
автор: vhihuojpkgddr
Предмет: Математика,
автор: ульяна368