Предмет: Математика, автор: Margo209733

Помогите решить производные
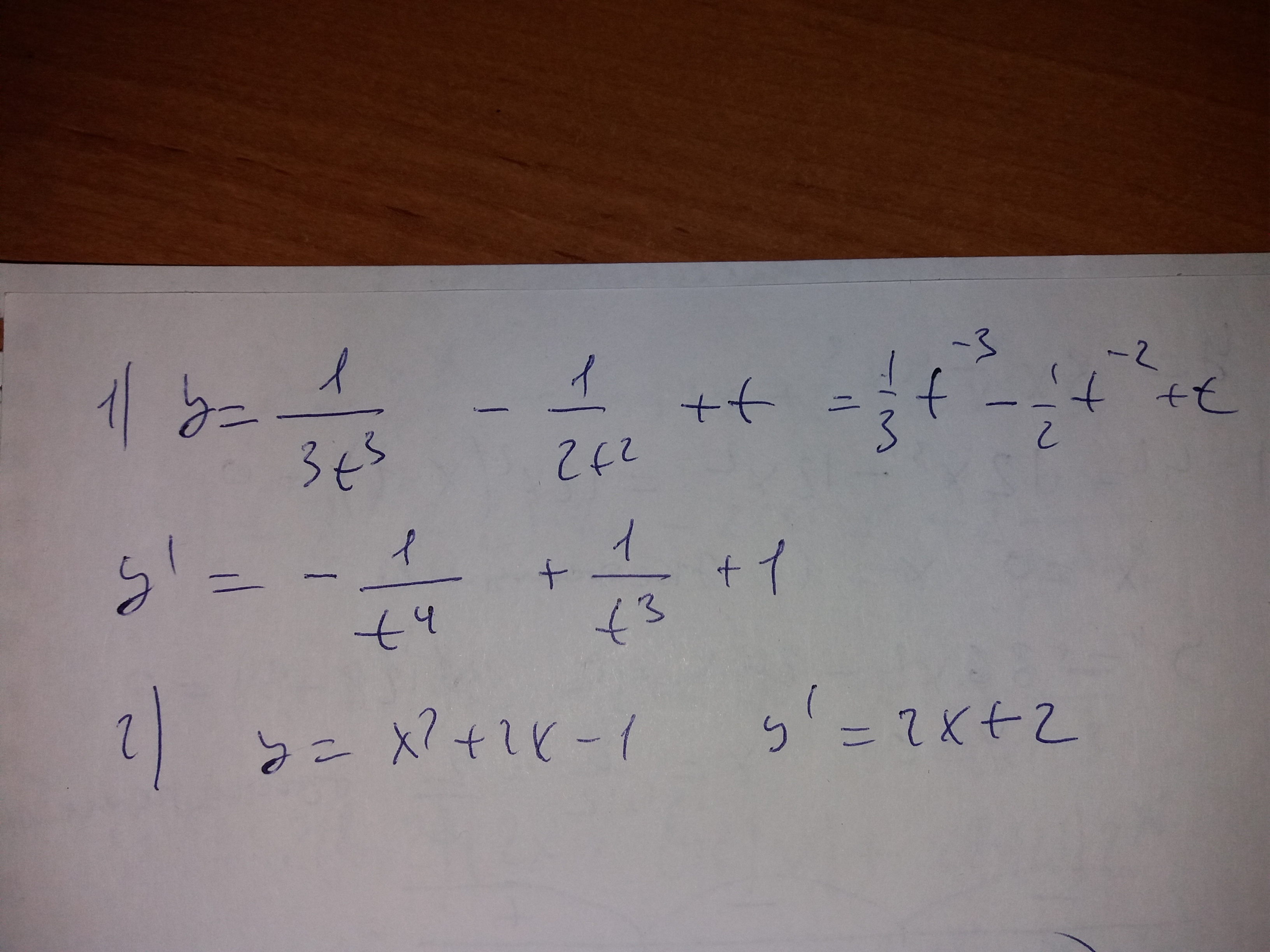
1) S=1/3t^3-1/2t^2+t
2) y=x^2+2x-1

Ответы

Автор ответа: Bena2019
0

Ответ:

Пошаговое объяснение:

Приложения:
Похожие вопросы
Предмет: Математика, автор: ghhijyywqgoblin
Предмет: Английский язык, автор: danikrobik
Початок листа:


How are you? – Як справи?/ Як ти?
How is your family? – Як твоя сім’я?
Thank you/Many thanks for your (recent/last) letter/postcard. – Спасибі/Пребагато вдячний за (недавнє/останній) лист / листівку.
I hope you are well. – Сподіваюся, ти в порядку.
I was so surprised to hear that… – Я був здивований почути, що …
It was good / nice / great to hear from you again. – Було добре / приємно / чудово отримати звістку від тебе знову.
It’s ages since i’ve heard from you. I hope you’re well/you and your family are well. – Сто років нічого не чув від тебе. Сподіваюся, ти в порядку/ти і твоя сім’я в порядку.
I’m sorry I haven’t written/haven’t been in touch for such a long time. – Вибач, що не писав/не підтримував зв’язок так довго.


Якщо друг писав про новини:


Glad to hear that… – Радий чути, що…
Great news about… – Відмінні новини про…
Sorry to hear about… – Шкода почути про…
Якщо хочемо поділитися новинами:


I thought you might be interested to hear about/know that… – Я подумав, тобі могла б бути цікаво почути про/дізнатися, що…
Listen, did I tell you about …? You’ll never believe what… – Слухай, я тобі розповідав про…? Ти ніколи не повіриш, що…
By the way, have you heard about / did you know that…? – До речі, ти чув про / ти знав, що…?
Oh, and another thing… This is just to let you know that … – О, і ще одне… Просто, щоб ти знав, що…
Вибачаємося:


I’m really sorry that I forgot to send you a birthday card but I was busy with my new job. – Вибач, мені дуже шкода, що я забув відправити тобі листівку на день народження, але я був зайнятий новою роботою.
I’m writing to apologise for missing your party but i’m afraid I was with flu. – Пишу, щоб вибачитися, що пропустив твою вечірку, але, боюся, у мене був грип.


Запрошуємо:


Could you let me know if you can come / you’d like to join us? – Міг би ти дати мені знати, чи ти зможеш прийти/ти хотів би приєднатися до нас?
I was wondering if you’d like to come on holiday with us. – Мені цікаво, ти хотів би поїхати з нами на канікули.
I’m / we’re having a party on Saturday 13th and I / we hope you’ll be able to come. – Я / Ми влаштовуємо вечірку в суботу 13-го і сподіваємося, тобі вдасться прийти.
Відповідаємо на запрошення:


Thank you very much for your invitation. I’d love to come. – Велике спасибі за запрошення. Я б із задоволенням прийшов.
Thank you for inviting me to… but I»m afraid I won’t be able to… – Дякую за запрошення… але, боюся, я не зможу…
Запитуємо:


I’m writing to ask for your help/you (if you could do me a favour. – Пишу тобі, щоб попросити про допомогу / (чи зміг би ти зробити мені) про послугу.
I wonder if you could help me/do me a favour. – Мені цікаво, чи зміг би ти мені допомогти / надати послугу.
I’d be very / really / terribly grateful if you could… – Я був би дуже / дійсно / страшенно вдячний, якби ти міг.
Дякуємо:


I’m writing to thank you for your hospitality/the wonderful present. – Пишу тобі, щоб подякувати тобі за гостинність/чудовий подарунок.
It was so kind of you to invite me to stay with you. – Це було так мило з вашого боку запросити мене залишитися з вами.
I really appreciated all your help/advice. – Я дійсно ціную твою допомогу/рада.
Вітаємо/бажаємо удачі:


Congratulations passing on your exams/your excellent exam results! – Мої поздоровлення з успішною здачею іспитів/твоїми чудовими результатами!
I wish you good luck/Good luck in/with your exams/your interview. – Бажаю тобі удачі/Удачі на іспитах/співбесіді.
Don’t worry, i’m sure you’ll do well/pass. – Не хвилюйся, я впевнений, тобі все вдасться / здаси.
Пропонуємо і радимо:


Why don’t you…? – Чому б тобі не…?
Maybe you could…? – Можливо ти міг би…?
How about…? – Як щодо…?
You can’t leave Moscow without… (doing sth) – Ти не можеш покинути Москву не… (зробивши чогось)
I’m sure you will enjoy… (doing sth). If you like we can… – Я впевнений, тобі сподобається… (робити щось). Якщо хочеш, ми можемо…
Предмет: Английский язык, автор: mozgovojaleksej70