Предмет: Математика,
автор: sjiwowksj
Помогите с алгеброй.
Приложения:
Ответы
Автор ответа:
0
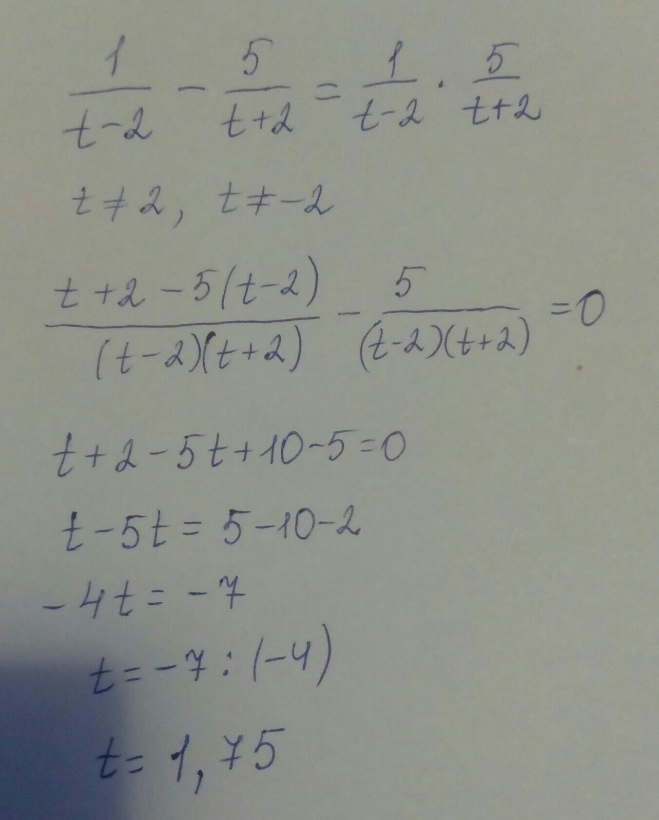
у меня получилось t=1,75 или одна целая три четвёртых.
Приложения:
Похожие вопросы
Предмет: Українська література,
автор: marmaksim66
Предмет: Литература,
автор: Fenlik1
Предмет: Математика,
автор: aihanym66461
Предмет: Литература,
автор: продо1
Предмет: Биология,
автор: imhorse