Предмет: Алгебра, автор: chapaevaksyu

Пожалуйста помогите. Надо решить пример

Приложения:

Ответы

Автор ответа: dimb0r22
2

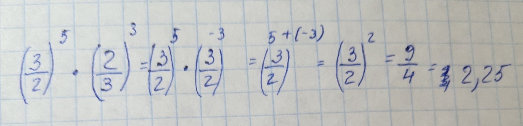
(3^5/2^5)*(2^3/3^3) = (3^5)/(3^3)*(2^3)/(2^5)=3^2/2^2 = 9/4


goldan123: не правильно
goldan123: это степень а не умножение
goldan123: степень это например 3 во второй степени = 3 умножить на само себя тоесть 3
goldan123: а это не то
dimb0r22: Да Господи
dimb0r22: Я даже чекнул фотомес, он также думает
dimb0r22: Поверь
Weniwichi: правильно все
Автор ответа: Weniwichi
0
воть :3 ..................
Приложения:

dimb0r22: Ну так у тебя двойка тоже идёт в квадрат и выйдет 9/4
dimb0r22: а не 9/2
Weniwichi: я забыла поставить скобки
Weniwichi: (3/2)^2=1.5^2=2.25 тоже самое ,что и 9/4
Похожие вопросы
Предмет: Алгебра, автор: petro22884
Предмет: Математика, автор: v0849644