Предмет: Алгебра,
автор: solnishko1989
ПОМОГИТЕ 45 БАЛЛОВ!!!
Приложения:
Ответы
Автор ответа:
0
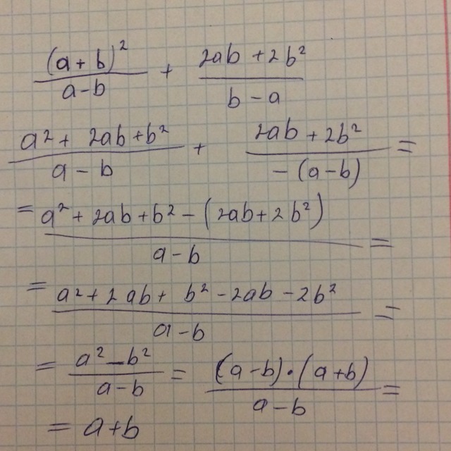
9.
10.
Данную задачу будем решать с помощью уравнения.
1. Обозначим через х скорость автомобиля.
2. Найдем скорость автобуса.
х - 20 км/ч.
3. Определим, сколько часов находился в пути автомобиль.
240 км : х км/ч = 240/х ч.
4. Найдем, сколько времени находился в пути автобус.
240 км : (х - 20) км/ч = 240/(х - 20) км.
5. Составим и решим уравнение.
240/(х - 20) - 240/х = 1;
х2 - 20х - 240х + 240х - 4800 = 0;
х2 - 20х - 4800 = 0;
D = 400 + 19200 = 19600;
Уравнение имеет 2 корня х = 80 и х = -60.
Скорость автомобиля не может быть меньше 0, подходит 1 корень х = 80.
6. Скорость автомобиля равна х = 80 км/ч.
7. Найдем скорость автобуса.
80 км/ч - 20 км/ч = 60 км/ч.
Ответ: Скорость автомобиля 80 км/ч, а скорость автобуса 60 км/ч.
10.
Данную задачу будем решать с помощью уравнения.
1. Обозначим через х скорость автомобиля.
2. Найдем скорость автобуса.
х - 20 км/ч.
3. Определим, сколько часов находился в пути автомобиль.
240 км : х км/ч = 240/х ч.
4. Найдем, сколько времени находился в пути автобус.
240 км : (х - 20) км/ч = 240/(х - 20) км.
5. Составим и решим уравнение.
240/(х - 20) - 240/х = 1;
х2 - 20х - 240х + 240х - 4800 = 0;
х2 - 20х - 4800 = 0;
D = 400 + 19200 = 19600;
Уравнение имеет 2 корня х = 80 и х = -60.
Скорость автомобиля не может быть меньше 0, подходит 1 корень х = 80.
6. Скорость автомобиля равна х = 80 км/ч.
7. Найдем скорость автобуса.
80 км/ч - 20 км/ч = 60 км/ч.
Ответ: Скорость автомобиля 80 км/ч, а скорость автобуса 60 км/ч.
Приложения:
Похожие вопросы
Предмет: Английский язык,
автор: ruurhdhdjd15
Предмет: Геометрия,
автор: bogdandeer
Предмет: Математика,
автор: v0849644
Предмет: Физика,
автор: Xoxoxoxoxoxox
Предмет: Обществознание,
автор: Аноним