Предмет: Математика,
автор: mrkexabakarov
Помогите плз, я хокага кста
Приложения:
mrkexabakarov:
ну пазазя
Ответы
Автор ответа:
0
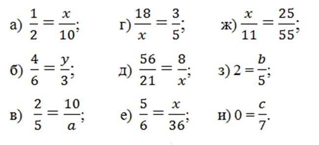
а)10=2x
2x=10
x=10:2
x=5
Ответ:5
б)2/3=y/3
y=2
Ответ:2
в)2а=50
а=50:2
а=25
Ответ:25
г)90=3x
3x=90
x=90:3
x=30
Ответ:30
д)8/3=8/х
8х=24
х=24:8
х=3
Ответ:3
е)180=6х
х=180:6
х=30
Ответ:30
д)х/11=5/11
х=5
Ответ:5
з)10=b
b=10
Ответ:10
и)с/7=0
с=0
Ответ:0
2x=10
x=10:2
x=5
Ответ:5
б)2/3=y/3
y=2
Ответ:2
в)2а=50
а=50:2
а=25
Ответ:25
г)90=3x
3x=90
x=90:3
x=30
Ответ:30
д)8/3=8/х
8х=24
х=24:8
х=3
Ответ:3
е)180=6х
х=180:6
х=30
Ответ:30
д)х/11=5/11
х=5
Ответ:5
з)10=b
b=10
Ответ:10
и)с/7=0
с=0
Ответ:0
Похожие вопросы
Предмет: Биология,
автор: lizakurskaya51
Предмет: Математика,
автор: anastasiykravchenko2
Предмет: Алгебра,
автор: Аноним
Предмет: Математика,
автор: Снежана2002хахаха