Предмет: Алгебра,
автор: lol8413
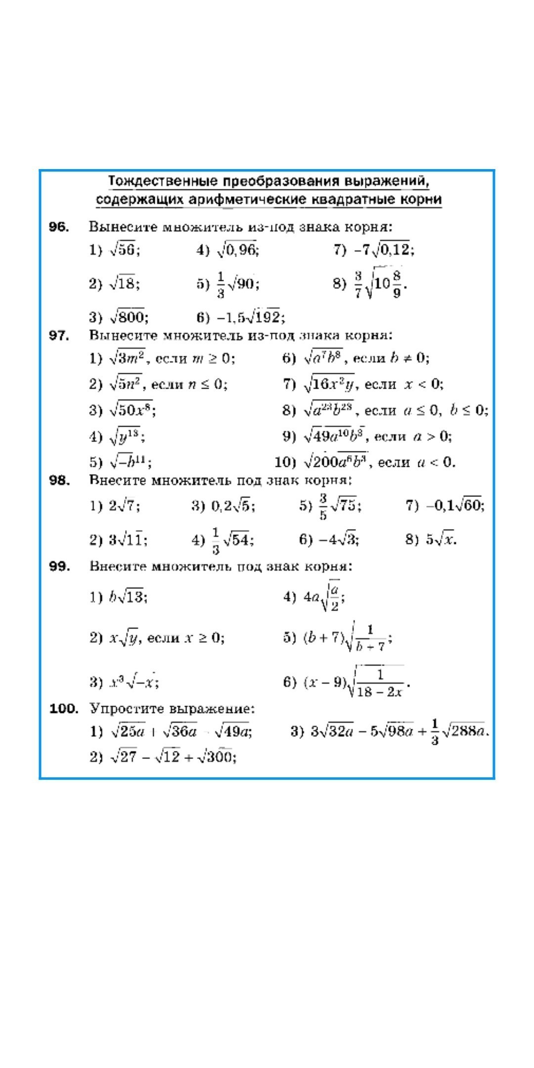
Помогите пжж срочно! Нужно сделать все
Приложения:
Ответы
Автор ответа:
1
Решение на фотографиях
Приложения:
lol8413:
спасибо!!!
Похожие вопросы
Предмет: Биология,
автор: vi2866075
Предмет: Математика,
автор: Аноним
Предмет: Українська мова,
автор: darialovelyx
Предмет: Математика,
автор: нигга14
Предмет: Математика,
автор: Tima0001