Предмет: Алгебра,
автор: allan914
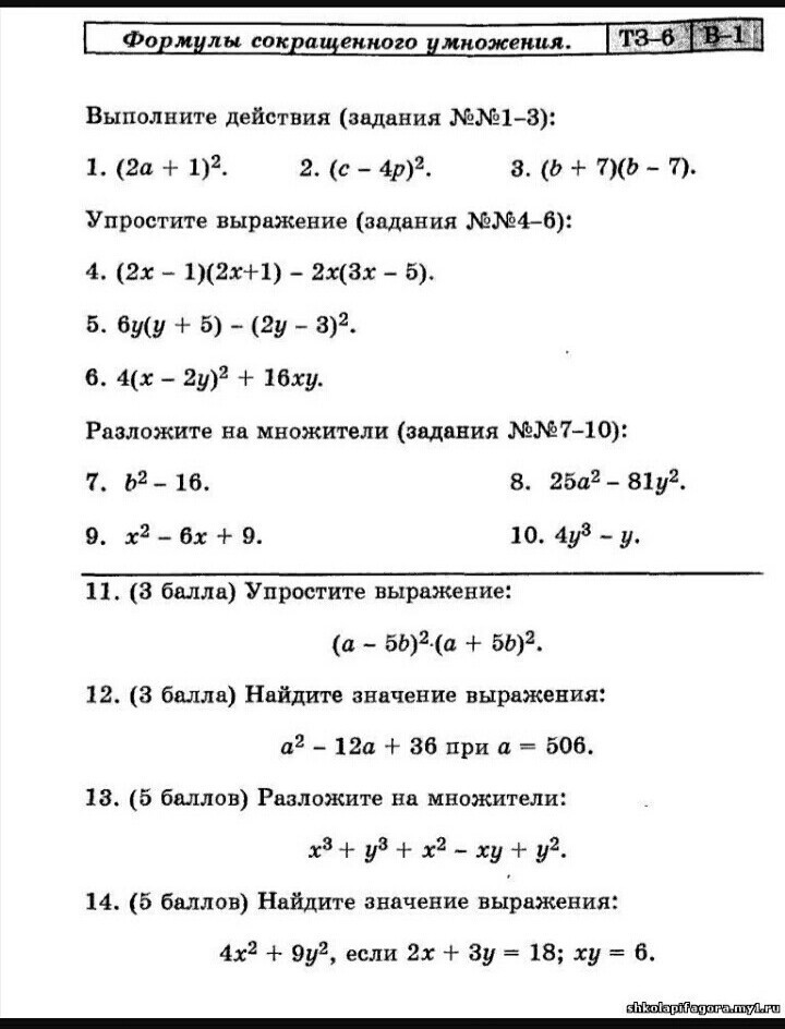
помогите пожалуйста , 7 класс , сокращённое умножение
Приложения:
Ответы
Автор ответа:
1
1)4a2+4a+1
2)c2-8pc+16p2
3)b2-49
номер2
4)4x2-1-6x-10x=4x2-1-16x
5)6y2+30y-4y2+12y-9
6)4(x2-4xy+4y2)+16xy=4x2-16xy+16y2+16xy=4x2+16y2
2)c2-8pc+16p2
3)b2-49
номер2
4)4x2-1-6x-10x=4x2-1-16x
5)6y2+30y-4y2+12y-9
6)4(x2-4xy+4y2)+16xy=4x2-16xy+16y2+16xy=4x2+16y2
allan914:
спасибо огромное^ω^
Похожие вопросы
Предмет: Математика,
автор: zxcvbqwe1234qwe
Предмет: Геометрия,
автор: fejessz
Предмет: Другие предметы,
автор: viktoriakondzola
Предмет: Математика,
автор: zhasik3
Предмет: География,
автор: sonyastasenko