Предмет: Математика,
автор: barannik1901yulechka
Мне нужно полное объяснение задачи, так как записывают в школе
Приложения:
Олеся9006:
Во всех школах по разному записывают
хоть какой-то ответ, только не короткий
Ответы
Автор ответа:
1
Ответ:
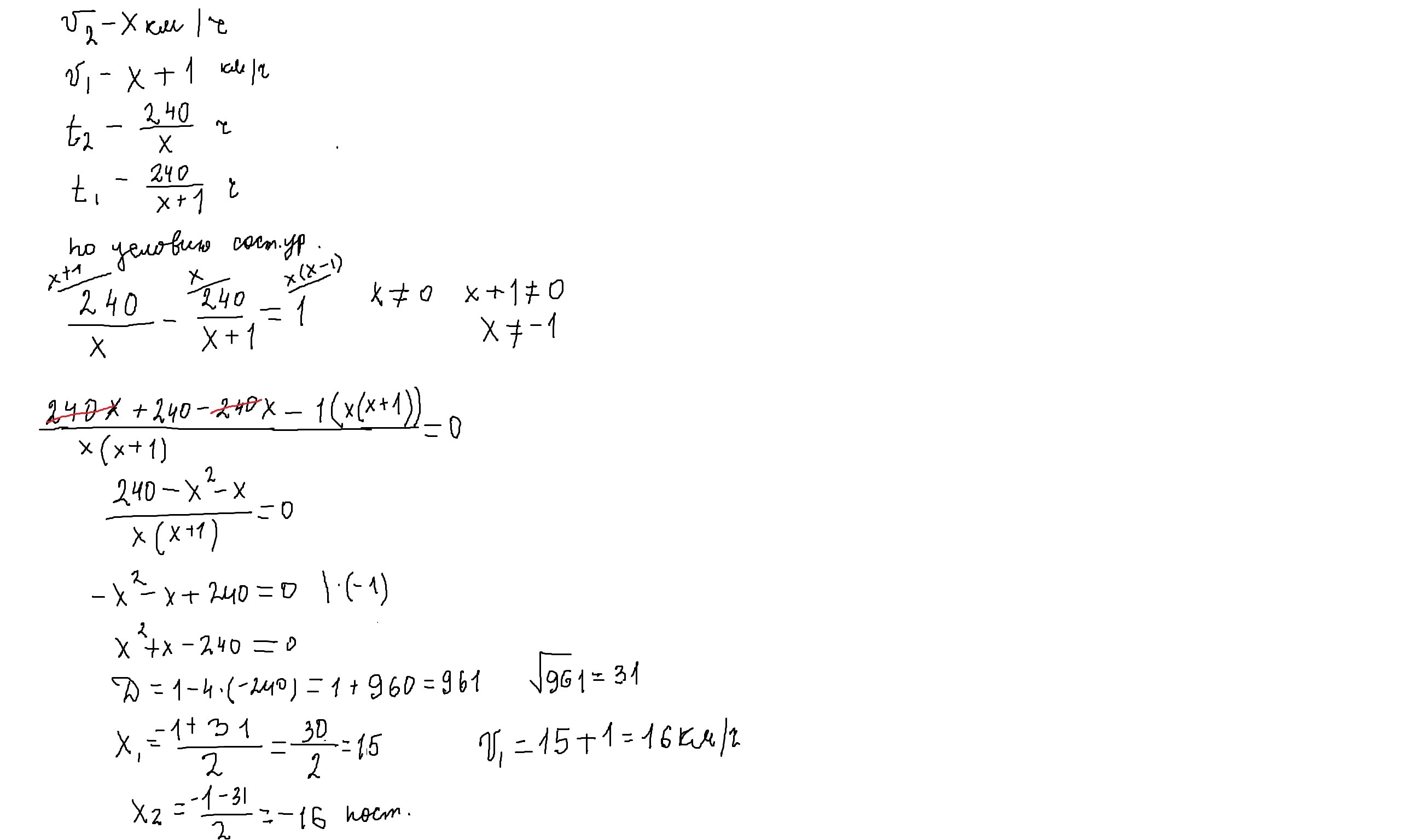
решение смотри внизу .поясню обозначения
v₁- скорость 1 велосипедиста
v₂-скорость 2 велосипедиста
t₁-время в пути 1 велосипедиств
t₂-время в пути 2 велосипедиста
т.к 2 велос. провел в пути времени больше,чем 1 то сост. уравнение
Приложения:
Похожие вопросы
Предмет: Биология,
автор: nedoelsup22
Предмет: Математика,
автор: ismailsharifov0
Предмет: Математика,
автор: alexclashguy
Предмет: История,
автор: rahimovalekseyj
Предмет: Алгебра,
автор: veresova454