Предмет: Алгебра,
автор: llkk2003
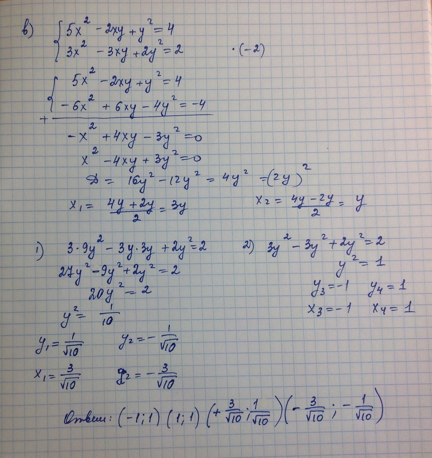
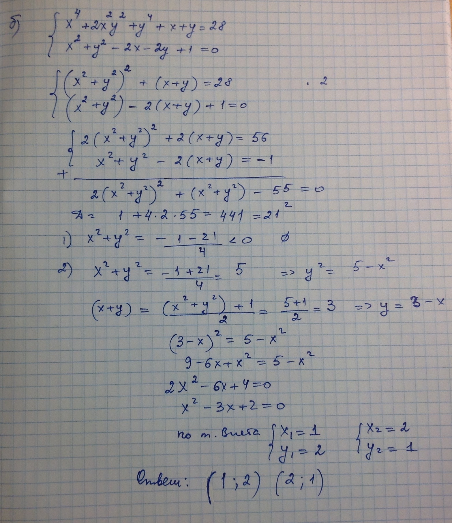
Решите системы уравнений все буквы
Приложения:
Ответы
Автор ответа:
2
Ответ на фото////////////////////////
Приложения:
avdeeva892:
помогите мне пож
самый лучший
Похожие вопросы
Предмет: Литература,
автор: hatfusinah
Предмет: История,
автор: dafipubgm
Предмет: Қазақ тiлi,
автор: maralomarova04
Предмет: Математика,
автор: дашка379
Предмет: Математика,
автор: адина35