Предмет: Математика,
автор: Karinka022
Помогите пожалуйста решить!
Приложения:
Ответы
Автор ответа:
1
Ответ:
Пошаговое объяснение:
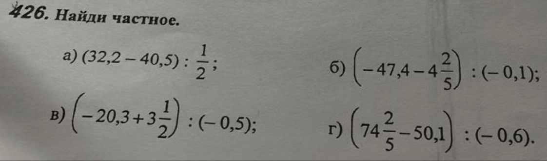
А)32,2-40,5=-8,3
-8,3:1/2=-8,3:0,5=-16,6
Б)-47,4-4 2/5=-47,4-4,4=-51,8
-51,8:(-0,1)=518
В)-20,3+3 1/2=-20,3+3,5=-16,8
-16,8:(-0,5)=33,6
Г) 74 2/5-50,1=74,4-50,1=24,3
24,3:(-0,6)=-40,5
Похожие вопросы
Предмет: Английский язык,
автор: lizavv4184094
Предмет: Математика,
автор: kozachenkod913
Предмет: Русский язык,
автор: platon241110
Предмет: Математика,
автор: LadaParadise