Предмет: Физика,
автор: Аноним
30 баллов за ответ с рисунком
Скобку прямоугольной формы ABCD расположили перед тонкой линзой так, что сторона BC оказалась на главной оптической оси, а её изображение в три раза длиннее самой стороны. (скобка находится между F и 2F, AB левее CD). Скобку повернули вокруг стороны AB на 180º. Теперь изображение стороны BC оказалось больше оригинала в два раза. Во сколько раз изображение A1B1 больше стороны AB?
Приложения:
Ответы
Автор ответа:
6
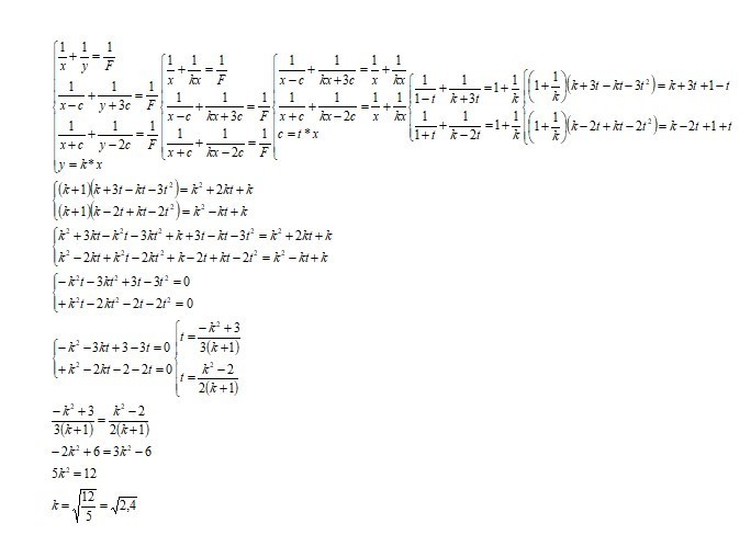
пусть х - расстояние от точки В до линзы
пусть у - расстояние от точки В1 (изображения точки В) до линзы
пусть с - длина отрезка ВС
выразим у = к*х
искомое увеличение и есть искомая к
тогда .......
дальше сплошная математика (смотри во вложении)
.........................
ответ корень(2,4)
Приложения:
Похожие вопросы
Предмет: Алгебра,
автор: la7572572
Предмет: Английский язык,
автор: rukanovaksenia
Предмет: Алгебра,
автор: yuzin
Предмет: Математика,
автор: 08122009
Предмет: Литература,
автор: Myashca